Análise comparando o fluxo de vento sobre uma superfície inferior rugosa e lisa utilizando técnicas de fluxo de terreno num túnel de vento.
Análise comparando o fluxo de vento sobre uma superfície inferior rugosa e lisa utilizando técnicas de fluxo de terreno num túnel de vento.
2025-03-28
056031
  • RFEM 6

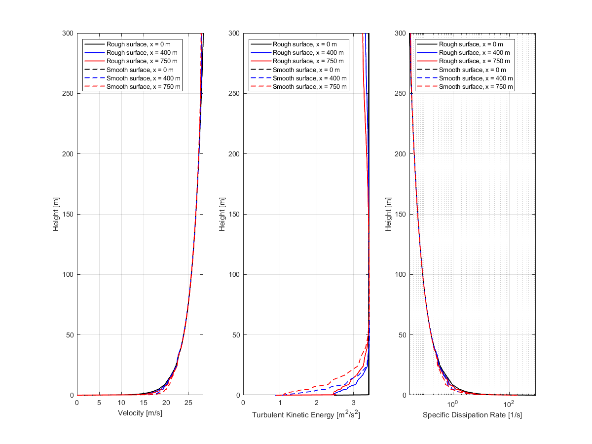
Análise de fluxo de terreno – comparação de túnel de vento para superfície inferior rugosa e lisa

Análise comparando o fluxo de vento sobre uma superfície inferior rugosa e lisa utilizando técnicas de fluxo de terreno num túnel de vento.

A imagem ilustra uma análise comparativa entre superfícies inferiores rugosas e lisas em um túnel de vento, focando nas características do fluxo do terreno. O estudo visa compreender como as condições da superfície afetam a dinâmica do fluxo do vento. Texturas de superfície distintas são visualmente destacadas.
  • Análise de fluxo de terreno
  • Estudo de túnel de vento
  • Comparação de superfície rugosa
  • Análise de superfície lisa
  • Observação de dinâmica de fluidos
Partilhar