Gráfico da função de temperatura crítica do componente
Gráfico da função de temperatura crítica do componente
2025-09-22
059090
  • RFEM 6
  • RSTAB 9
  • Estruturas de aço
    • Cálculos estruturais e dimensionamento
    • Eurocode 3

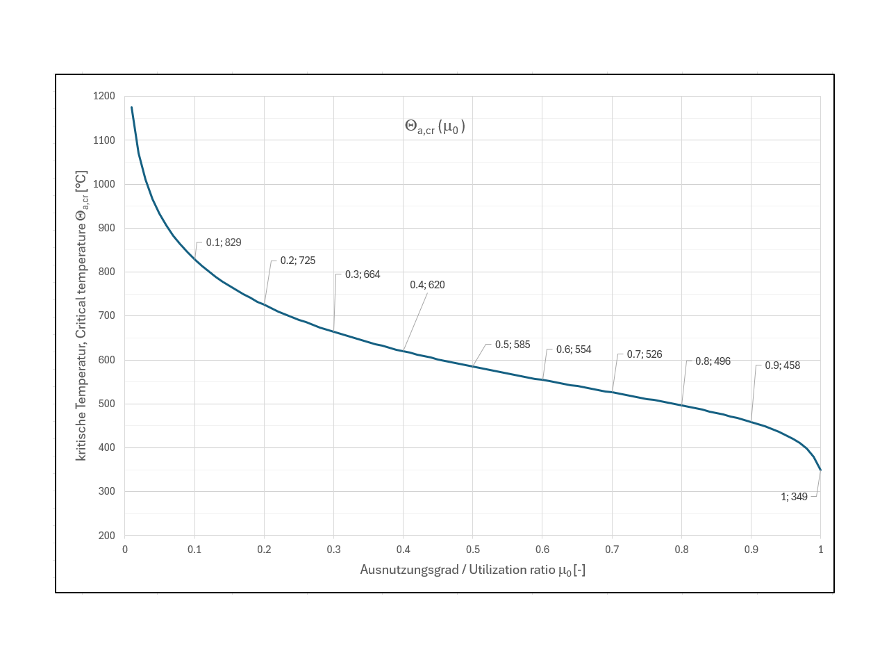
KB 1988 | Gráfico da função de temperatura crítica do componente Θa,cr

Gráfico da função de temperatura crítica do componente

Gráfico da função de temperatura crítica do componente
  • Temperatura crítica de componente
  • Dimensionamento de resistência ao fogo
  • Gráfico de função
Utilizado em
  • Dimensionamento de resistência ao fogo em estruturas de aço: temperatura crítica de componente
Partilhar