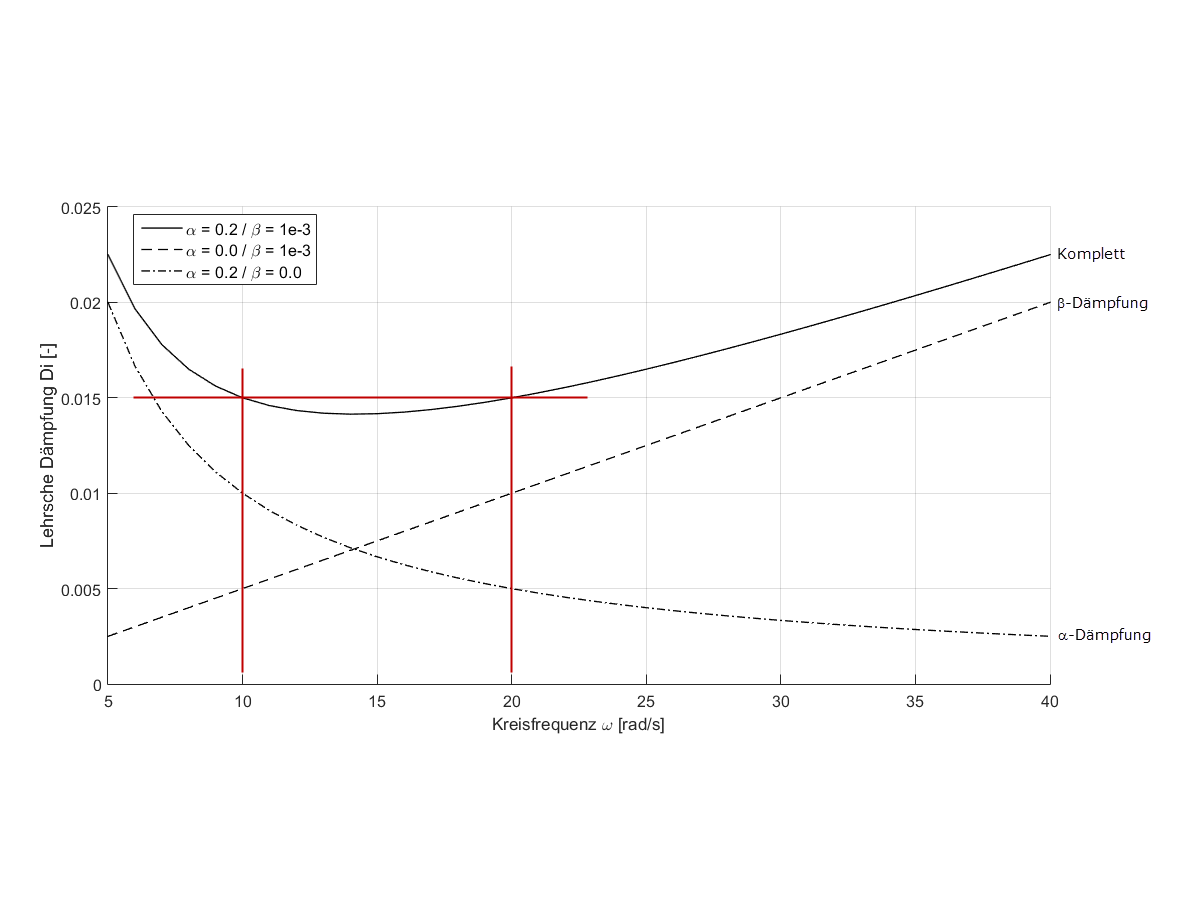
Связь между коэффициентами Рэлея и затуханием Лера
Связь между коэффициентами Рэлея и затуханием Лера
2024-05-30
018202
  • RFEM 5
  • RSTAB 8
  • DYNAM Pro | Nonlinear Time History 8
    • RF-DYNAM Pro | Forced Vibrations 5
    • RF-DYNAM Pro | Nonlinear Time History 5 (нелинейное изменение во времени)
    • Динамический и сейсмический расчёт
    • Нелинейный динамический расчёт

Связь между коэффициентами Рэлея и затуханием Лера

Используется в
  • Затухание Релея
Поделиться