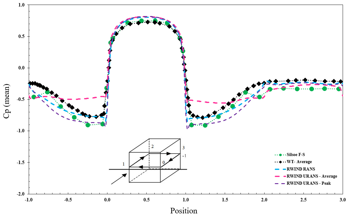
Среднее и Пиковое значение Cp для модели турбулентности RANS и URANS
Среднее и Пиковое значение Cp для модели турбулентности RANS и URANS
2024-11-21
054056
  • RFEM 6

Среднее и Пиковое значение Cp для моделей турбулентности RANS и URANS

Среднее и Пиковое значение Cp для модели турбулентности RANS и URANS

Поделиться