Производная к 1-й основной ширине с двухосной эксцентриситетом
Производная к 1-й основной ширине с двухосной эксцентриситетом
2024-12-03
054348
  • RFEM 6

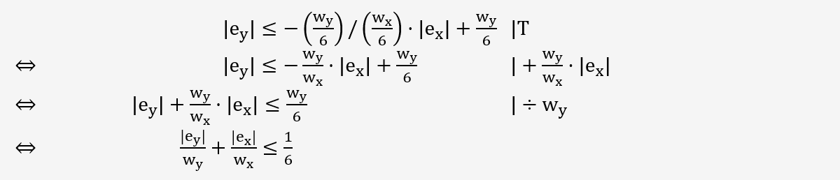
Вывод для 1-й основной ширины с двухосной эксцентриситетом

Производная к 1-й основной ширине с двухосной эксцентриситетом

Данная иллюстрация демонстрирует вывод первой ширины ядра с учетом двухосной эксцентриситета, критически важной для соблюдения допустимых эксцентриситетов в геотехнических расчетах. С помощью статического программного обеспечения поддерживается проектирование конструкций, при этом особенно интегрируются дополнения Dlubal, чтобы помочь инженерам в точном расчете и оптимизации устойчивости конструкций. Представленные методы улучшают понимание максимизации способности структур и предотвращения конструкционных ошибок, которые могут быть вызваны недопустимыми эксцентриситетами.
  • Кернвейте
  • строительная инженерия
  • эксцентриситет
  • проектирование конструкций
  • статическое программное обеспечение
Поделиться