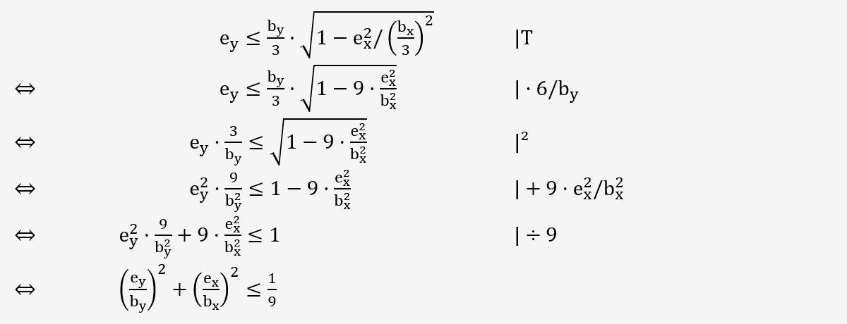
Производная для второй центральной ширины с двухосной эксцентричностью
Производная для второй центральной ширины с двухосной эксцентричностью
2024-12-03
054350
  • RFEM 6

Производная второго главного размера с двухосной эксцентричностью

Производная для второй центральной ширины с двухосной эксцентричностью

  • Кернвайте
  • Строительная инженерия
  • Экцентриситет
  • Проектирование конструкций
  • Статическое ПО
Поделиться