Категория рельефа местности II | Диаграмма сравнения скорости, турбулентной кинетической энергии и степени диссипации в аэродинамической трубе в трёх положениях по x.
Категория рельефа местности II | Диаграмма сравнения скорости, турбулентной кинетической энергии и степени диссипации в аэродинамической трубе в трёх положениях по x.
2025-02-14
055423
  • RFEM 6

Сравнение параметров потока в аэродинамической трубе

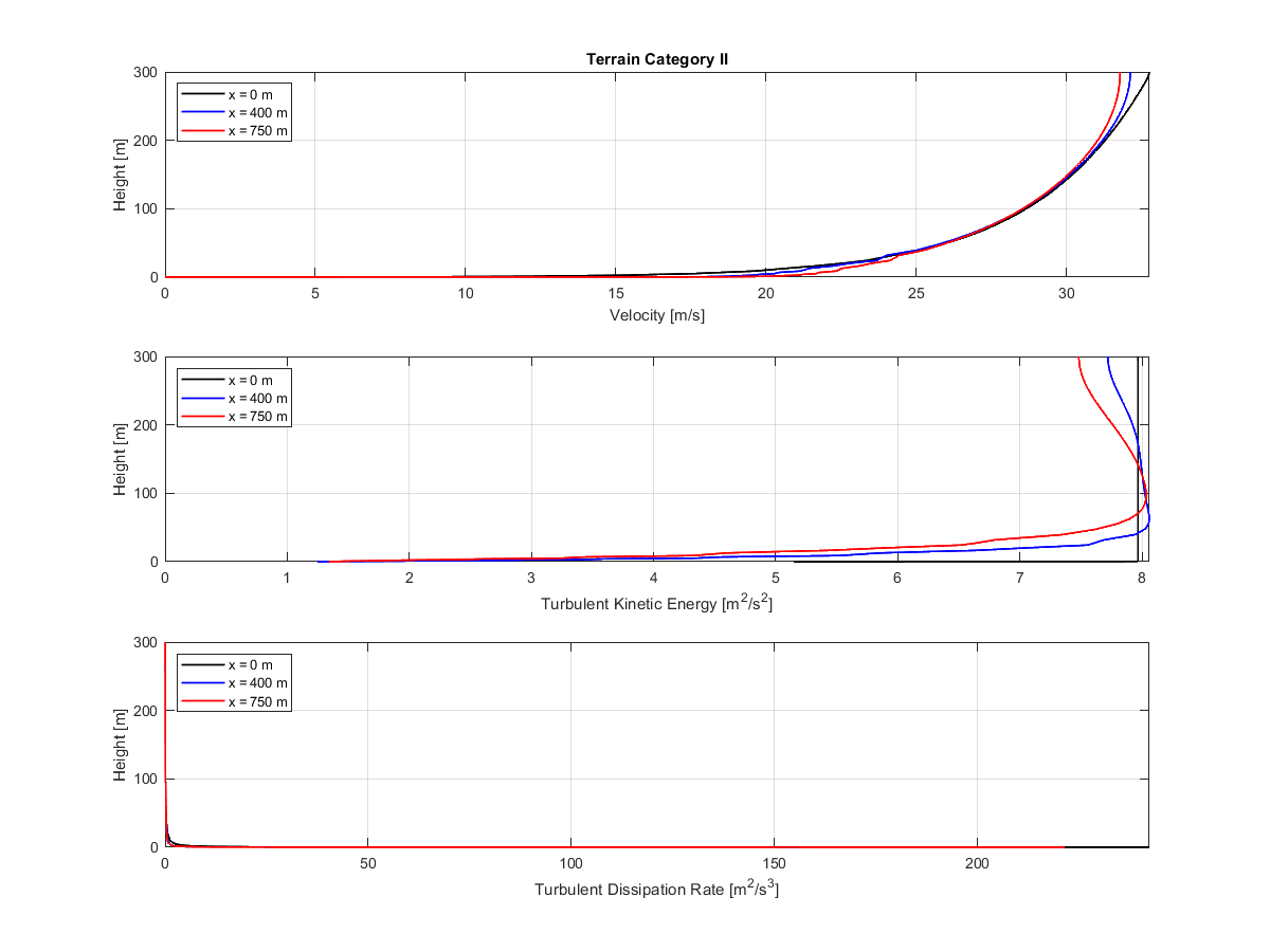
Категория рельефа местности II | Диаграмма сравнения скорости, турбулентной кинетической энергии и степени диссипации в аэродинамической трубе в трёх положениях по x.

Эта диаграмма представляет собой сравнительный анализ параметров потока в средней плоскости аэродинамической трубы. Она иллюстрирует скорость, турбулентную кинетическую энергию и скорость диссипации турбулентности при x=0 м, x=400 м и x=750 м. Различные графические элементы различают каждый параметр по секциям. Макет подчеркивает пространственное изменение аэродинамических свойств в условиях категории местности II.
  • Аэродинамическая труба
  • Скорость
  • Турбулентность
  • Кинетическая энергия
  • Скорость диссипации
  • Средняя плоскость
  • Диаграмма
  • Категория местности II
Поделиться