Категория местности III | Сравнение скорости, турбулентной кинетической энергии и скорости диссипации через три сечения аэродинамической трубы
Категория местности III | Сравнение скорости, турбулентной кинетической энергии и скорости диссипации через три сечения аэродинамической трубы
2025-02-14
055424
  • RFEM 6

Диаграмма для сравнения потоков в ветроном туннеле

Категория местности III | Сравнение скорости, турбулентной кинетической энергии и скорости диссипации через три сечения аэродинамической трубы

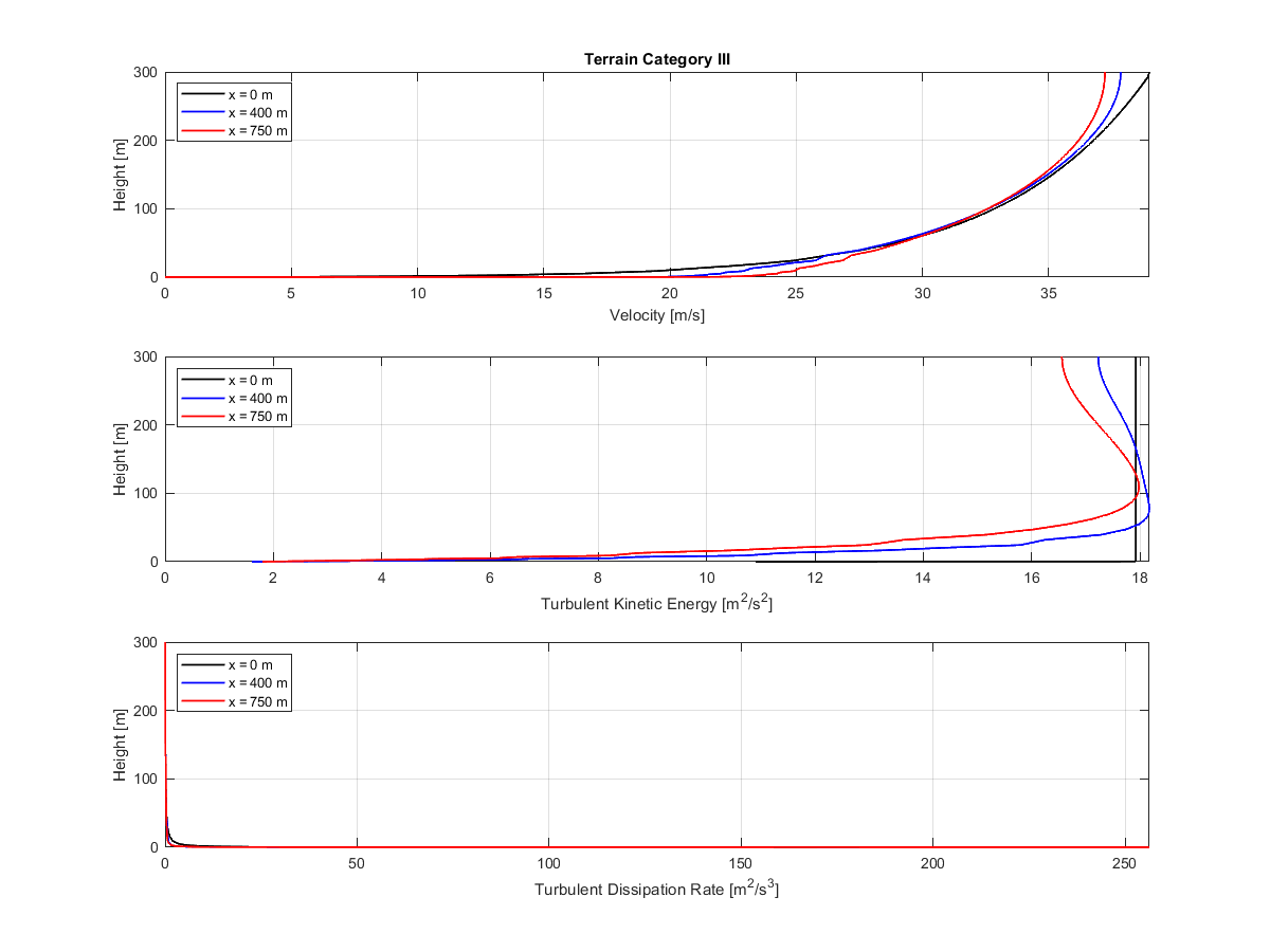
Диаграмма отображает три графика воздушного потока, измеренного в аэродинамической трубе для x=0 м, x=400 м и x=750 м вдоль средней плоскости. Она сравнивает скорость, турбулентную кинетическую энергию и уровень диссипации турбулентности в условиях категории местности III. На каждом графике представлены чёткие линии, показывающие изменения аэродинамических параметров. Представление позволяет провести детальную оценку динамики воздушного потока в различных участках.
  • Ветер
  • Тоннель
  • Поток
  • Сравнение
  • Скорость
  • Турбулентная кинетическая энергия
  • Темп диссипации турбулентности
  • Категория местности III
  • Средняя плоскость
Поделиться