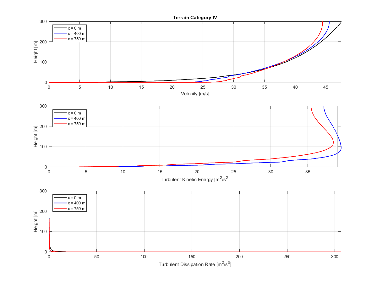
Категория рельефа IV | Диаграмма, показывающая скорость, турбулентную кинетическую энергию и диссипацию при x=0, 400 и 750 м
Категория рельефа IV | Диаграмма, показывающая скорость, турбулентную кинетическую энергию и диссипацию при x=0, 400 и 750 м
2025-02-14
055425
  • RFEM 6

Анализ потоков в аэродинамической трубе

Категория рельефа IV | Диаграмма, показывающая скорость, турбулентную кинетическую энергию и диссипацию при x=0, 400 и 750 м

Диаграмма сравнивает скорость потока, кинетическую энергию турбулентности и скорость диссипации турбулентности в средней плоскости аэродинамической трубы на x=0 м, 400 м и 750 м. Она показывает различные кривые для каждого параметра, подчеркивая пространственные различия в испытательной секции. Оси с метками обеспечивают точные шкалы измерений и единицы измерения для четкого различения нанесённых значений. Макет эффективно иллюстрирует вариации в динамическом поведении при условиях категории местности IV.
  • Ветер
  • Туннель
  • Скорость
  • Турбулентность
  • Энергия
  • Диссипация
  • Диаграмма
  • Рельеф
Поделиться