Анализ, сравнивающий воздушный поток над шероховатой и гладкой нижней поверхностью с использованием методов движения рельефа в аэродинамической трубе.
Анализ, сравнивающий воздушный поток над шероховатой и гладкой нижней поверхностью с использованием методов движения рельефа в аэродинамической трубе.
2025-03-28
056031
  • RFEM 6

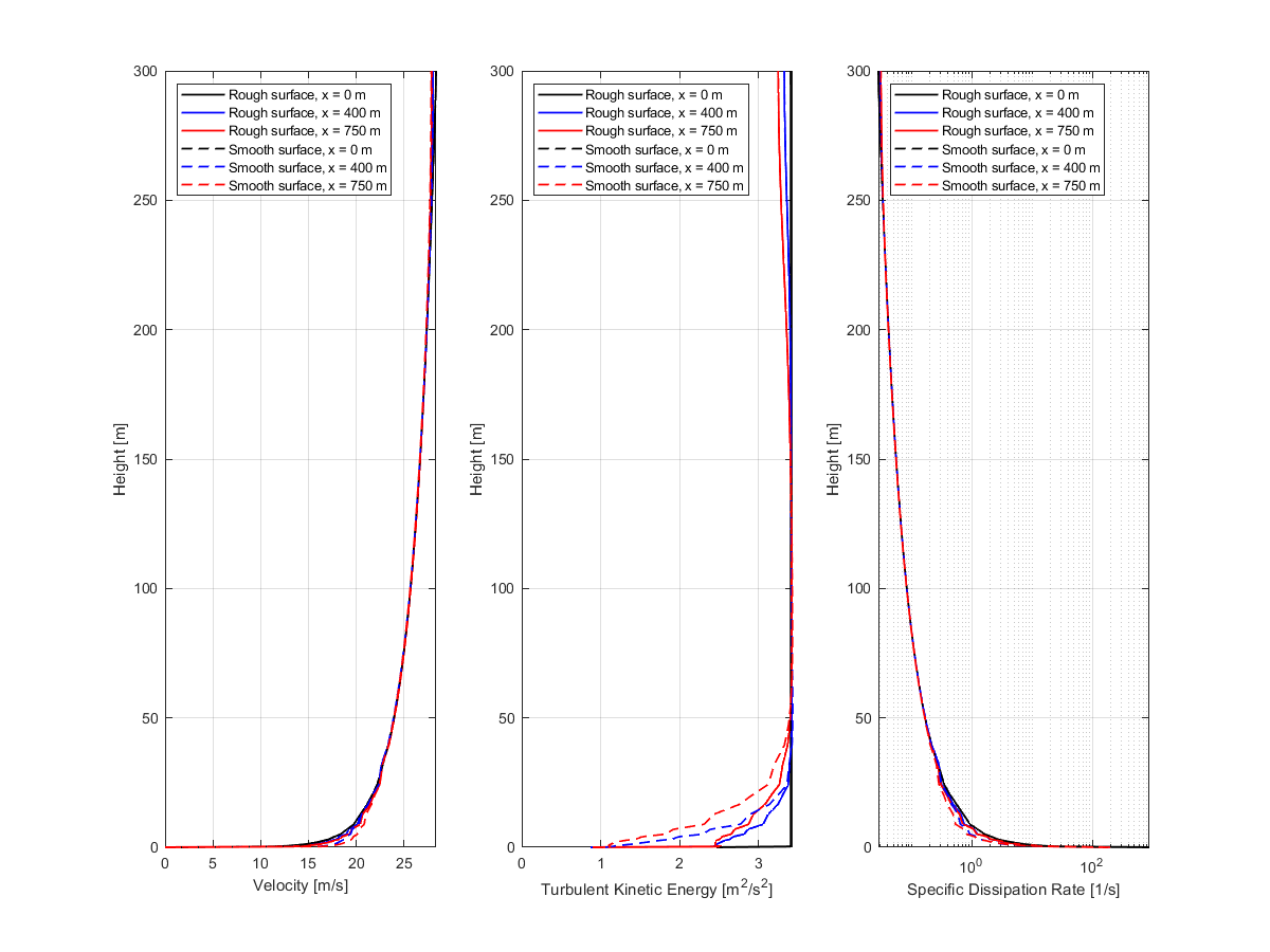
Анализ протекания местности – сравнение в аэродинамической трубе для шероховатой и гладкой нижней поверхности

Анализ, сравнивающий воздушный поток над шероховатой и гладкой нижней поверхностью с использованием методов движения рельефа в аэродинамической трубе.

На изображении показан сравнительный анализ шероховатых и гладких поверхностей днища в аэродинамической трубе, с акцентом на характеристики потока местности. Исследование направлено на понимание того, как состояние поверхности влияет на динамику потока ветра. Визуально выделены различные текстуры поверхности.
  • Анализ потока вблизи рельефа местности
  • исследование в аэродинамической трубе
  • сравнение шероховатых поверхностей
  • анализ гладких поверхностей
  • наблюдение за динамикой жидкости
Поделиться