Stora Enso CLT 100 C5s的包含刚度和强度属性的层结构
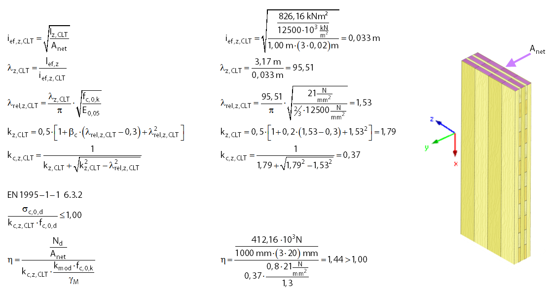
按照EN-1995-1-1第6.3.2章的等效杆件设计
Normalkraftverlauf des Ergebnisstabes und Ermittlung der effektiven Breite
Korrektur der Querschnittsfläche über die Knicklänge
在RF-TIMBER Pro中设计
Stora Enso CLT 100 C5s的包含刚度和强度属性的层结构
按照EN-1995-1-1第6.3.2章的等效杆件设计
Normalkraftverlauf des Ergebnisstabes und Ermittlung der effektiven Breite
Korrektur der Querschnittsfläche über die Knicklänge
在RF-TIMBER Pro中设计
2024-05-30
009660
  • RFEM 5
  • RF-TIMBER Pro 5
  • RF-Stability 5
    • 木结构
    • 稳定性分析
    • Eurocode 5

Stora Enso CLT 100 C5s的包含刚度和强度属性的层结构

用于
  • 板构件稳定性分析:交错层压木墙 2
分享
2024-05-30
009661
  • RFEM 5
  • RF-TIMBER Pro 5
  • RF-Stability 5
    • 木结构
    • 稳定性分析
    • Eurocode 5
按照EN-1995-1-1第6.3.2章的等效杆件设计
用于
  • 板构件稳定性分析:交错层压木墙 2
分享
2024-05-30
009662
  • RFEM 5
  • RF-TIMBER Pro 5
  • RF-Stability 5
    • 木结构
    • 稳定性分析
    • Eurocode 5
Normalkraftverlauf des Ergebnisstabes und Ermittlung der effektiven Breite
用于
  • 板构件稳定性分析:交错层压木墙 2
分享
2024-05-30
009663
  • RFEM 5
  • RF-TIMBER Pro 5
  • RF-Stability 5
    • 木结构
    • 稳定性分析
    • Eurocode 5
Korrektur der Querschnittsfläche über die Knicklänge
用于
  • 板构件稳定性分析:交错层压木墙 2
分享
2024-05-30
009664
  • RFEM 5
  • RF-TIMBER Pro 5
  • RF-Stability 5
    • 木结构
    • 稳定性分析
    • Eurocode 5
在RF-TIMBER Pro中设计
用于
  • 板构件稳定性分析:交错层压木墙 2
分享