带有双轴偏心的第一主宽度推导
带有双轴偏心的第一主宽度推导
2024-12-03
054348
  • RFEM 6

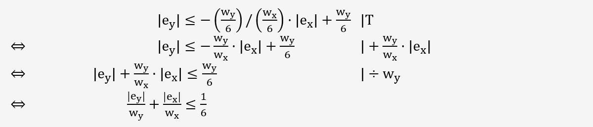
二轴偏心的第一核心跨度推导

带有双轴偏心的第一主宽度推导

该图说明了在考虑二维偏心的情况下,第一核心宽度的推导,这对于保持地质技术证明中的允许偏心是至关重要的。通过静态软件支持结构设计,特别集成了 Dlubal 的附加组件,以帮助工程师精确计算和优化结构稳定性。所展示的方法改善了对最大化结构能力和避免因不允许的偏心而导致的施工错误的理解。
  • 核心宽度
  • 土木工程技术
  • 偏心
  • 结构设计
  • 结构分析软件
分享