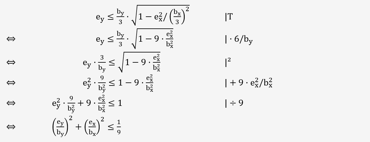
二轴偏心的第二核心宽度推导
二轴偏心的第二核心宽度推导
2024-12-03
054350
  • RFEM 6

二轴偏心的第二个核心宽度推导

二轴偏心的第二核心宽度推导

  • 核心距离
  • 建筑工程技术
  • 偏心
  • 结构设计
  • 静力学软件
分享