地形类别 II | 风洞中三个 x 位置的风速、湍流动能和湍流能量耗散率比较图
地形类别 II | 风洞中三个 x 位置的风速、湍流动能和湍流能量耗散率比较图
2025-02-14
055423
  • RFEM 6

风洞的流动参数比较

地形类别 II | 风洞中三个 x 位置的风速、湍流动能和湍流能量耗散率比较图

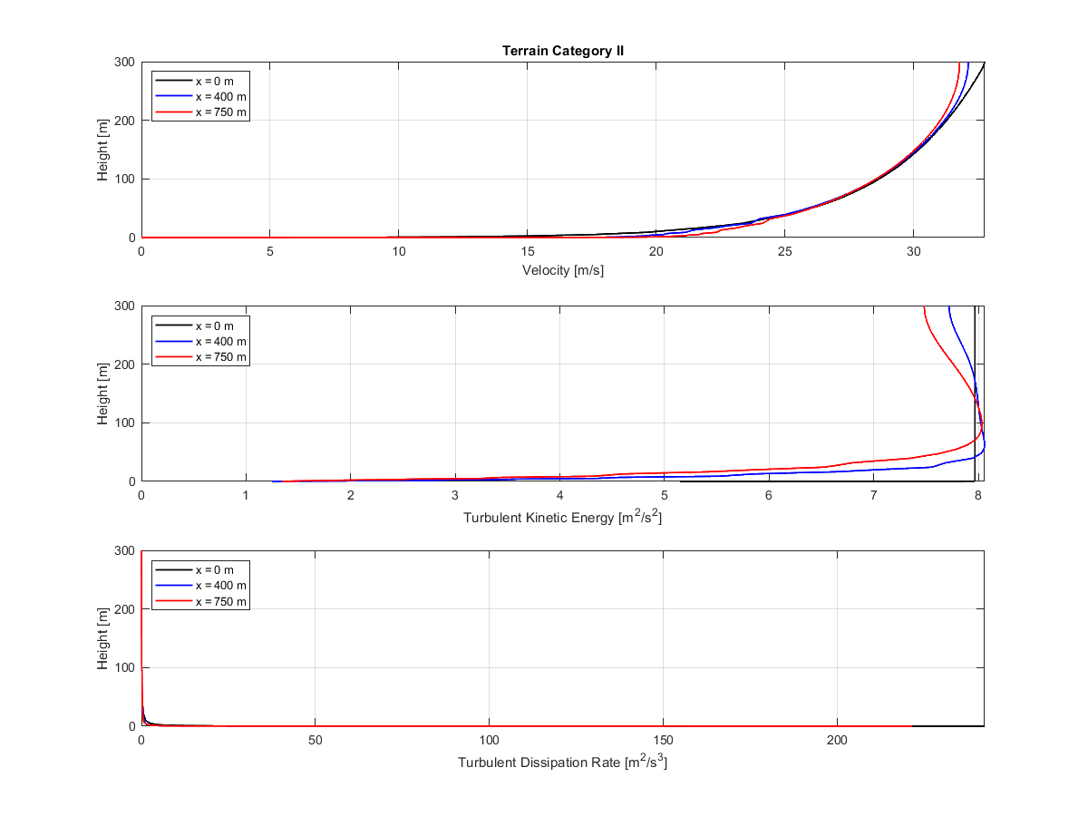
此图显示了风洞中平面流动参数的对比分析。它展示了在 x=0 m、x=400 m 和 x=750 m 处的速度、湍流动能和湍流耗散率。不同的图形元素区分了各个截面的各个参数。布局强调了地形类别 II 条件下空气动力学特性的空间变化。
  • 风洞
  • 风速
  • 湍流
  • 动能
  • 消散率
  • 中间平面
  • 图表
  • 地形类别 II
分享