地形类别 III | 三个风洞截面风速、湍流动能和湍流耗散率的比较。
地形类别 III | 三个风洞截面风速、湍流动能和湍流耗散率的比较。
2025-02-14
055424
  • RFEM 6

风洞流动比较图

地形类别 III | 三个风洞截面风速、湍流动能和湍流耗散率的比较。

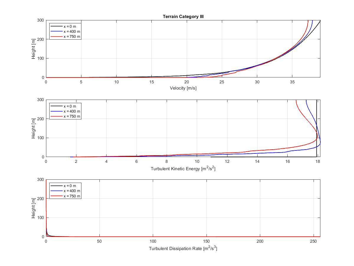
该图显示了在风洞中测量的三张气流数据截面图,位于 x=0 m、x=400 m 和 x=750 m 于中间平面。它比较了地形类别 III 条件下的速度、湍流动能和湍流耗散率。每张图中清晰的线条绘制了气动参数的变化。这种表现方式有助于对各个截面进行气流动力学的详细评估。
  • 风
  • 隧道
  • 流动
  • 对比
  • 速度
  • 湍流动能
  • 湍流耗散率
  • 地形类别 III
  • 中平面
分享