地形类别 IV | x=0、400 和 750 米处的速度、湍流动能和耗散图表
地形类别 IV | x=0、400 和 750 米处的速度、湍流动能和耗散图表
2025-02-14
055425
  • RFEM 6

风洞流动分析

地形类别 IV | x=0、400 和 750 米处的速度、湍流动能和耗散图表

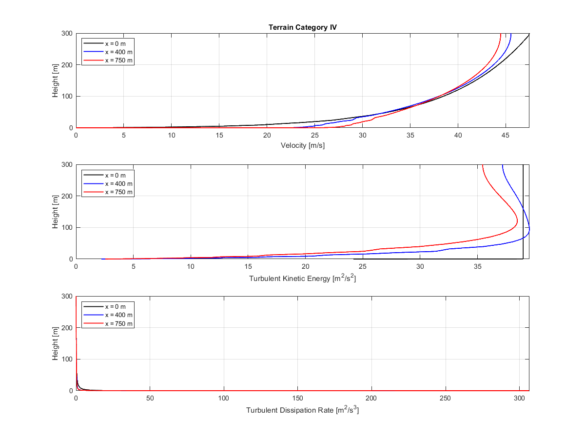
该图展示了风洞中x=0 m、400 m和750 m处中平面的流速、湍流动能和湍流耗散率的对比。每个参数都有不同的曲线,突出测试截面的空间差异。标记的坐标轴提供了精确的测量刻度和单位,便于清楚区分绘制的值。该布局有效展示了地形类别 IV 条件下动态行为的变化。
  • 风
  • 隧道
  • 速度
  • 湍流
  • 能量
  • 耗散
  • 图
  • 地形
分享