使用风洞中的地形风流技术比较风流在粗糙和光滑底面上的流动。
使用风洞中的地形风流技术比较风流在粗糙和光滑底面上的流动。
2025-03-28
056031
  • RFEM 6

地形流动分析 - 粗糙和光滑底面风洞对比

使用风洞中的地形风流技术比较风流在粗糙和光滑底面上的流动。

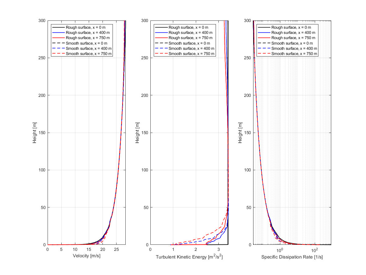
该图展示了风洞中粗糙和光滑底面的比较分析,重点是地形的风流特性。该研究旨在了解表面条件如何影响风流的动力学特征。不同的表面纹理在图中得到了清晰的呈现。
  • 地形流动分析
  • 风洞研究
  • 粗糙表面比较
  • 光滑表面分析
  • 流体动力学观察
分享