Výběr křivky vzpěrné pevnosti v přídavném modulu RF-/STEEL EC3
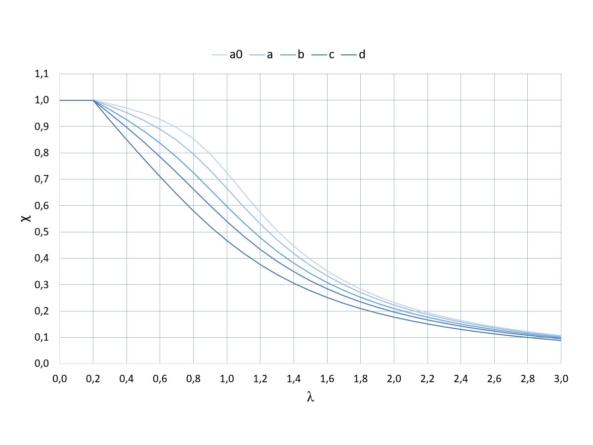
Křivky vzpěrné pevnosti podle EN 1993-1-1
Výběr křivky vzpěrné pevnosti v přídavném modulu RF-/STEEL EC3
Křivky vzpěrné pevnosti podle EN 1993-1-1
30.5.2024
015617
  • RFEM 5
  • RF-STEEL EC3 5
  • RSTAB 8
    • STEEL EC3 8
    • Ocelové konstrukce
    • Posouzení stability
    • Eurocode 3

Výběr křivky vzpěrné pevnosti v přídavném modulu RF-/STEEL EC3

Používá se v
  • Ruční nastavení křivky vzpěrné pevnosti podle EN 1993-1-1
Sdílet
30.5.2024
010469
  • RFEM 5
  • RF-STEEL EC3 5
  • RSTAB 8
    • STEEL EC3 8
    • Ocelové konstrukce
    • Posouzení stability
    • Eurocode 3
Křivky vzpěrné pevnosti podle EN 1993-1-1
Používá se v
  • Ruční nastavení křivky vzpěrné pevnosti podle EN 1993-1-1
Sdílet