7867x
000604
26.2.2021

Ruční nastavení křivky vzpěrné pevnosti podle EN 1993-1-1

Přídavný modul RF-/STEEL EC3 automaticky načítá z vlastností průřezu křivku vzpěrné pevnosti, která se použije pro posouzení průřezu na vzpěr. Zejména u obecných průřezů, ale i ve zvláštních případech, lze v zadání její přiřazení ručně upravit.

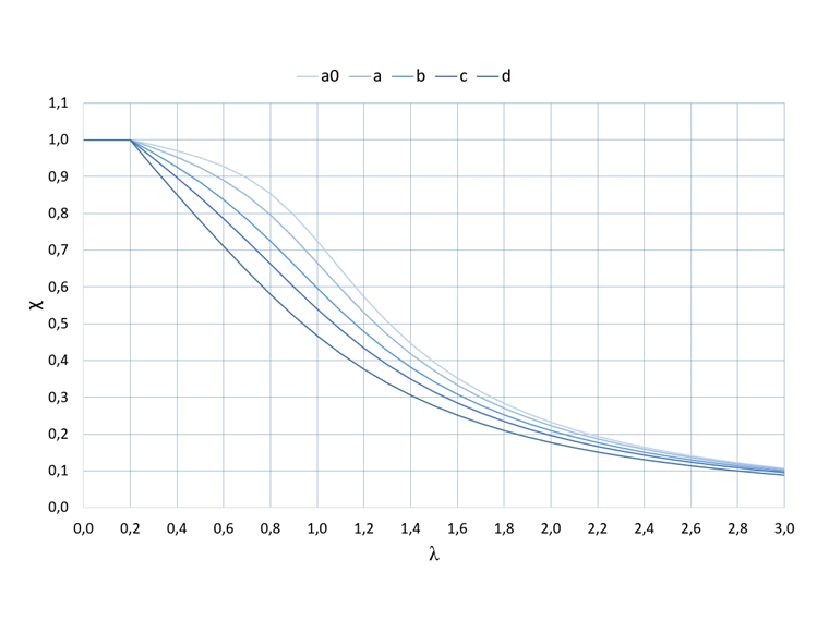
Křivky vzpěrné pevnosti podle EN 1993-1-1, tabulka 6.2

Z křivek vzpěrné pevnosti v normě vyplývá redukční součinitel χ v závislosti na příslušné poměrné štíhlosti λ ̅. Tato redukce únosnosti zohledňuje vliv geometrických a konstrukčních imperfekcí na tuhost konstrukčního prvku. Ty jsou zahrnuty ve vzorci pro výpočet redukčního součinitele pomocí součinitele imperfekce α.

Nejpříznivější křivka vzpěrné pevnosti a0 představuje nejmenší vliv imperfekcí a zajišťuje tak při stejné štíhlosti vyšší vzpěrnou únosnost. Nejnepříznivější křivkou vzpěrné pevnosti s největším součinitelem imperfekce je křivka d.

Součinitele imperfekce podle EN 1993-1-1, tabulka 6.1
Křivka vzpěrné pevnostia0abcd
Součinitel imperfekce α0,130,210,340,490,76

Ruční nastavení v modulu RF-/STEEL EC3

Ve vstupním okně průřezů v přídavném modulu se znovu zobrazí detaily průřezů. U každého průřezu lze v nastavení detailů vybrat křivku vzpěrné pevnosti odlišně od hodnoty z databáze.


Odkazy


;