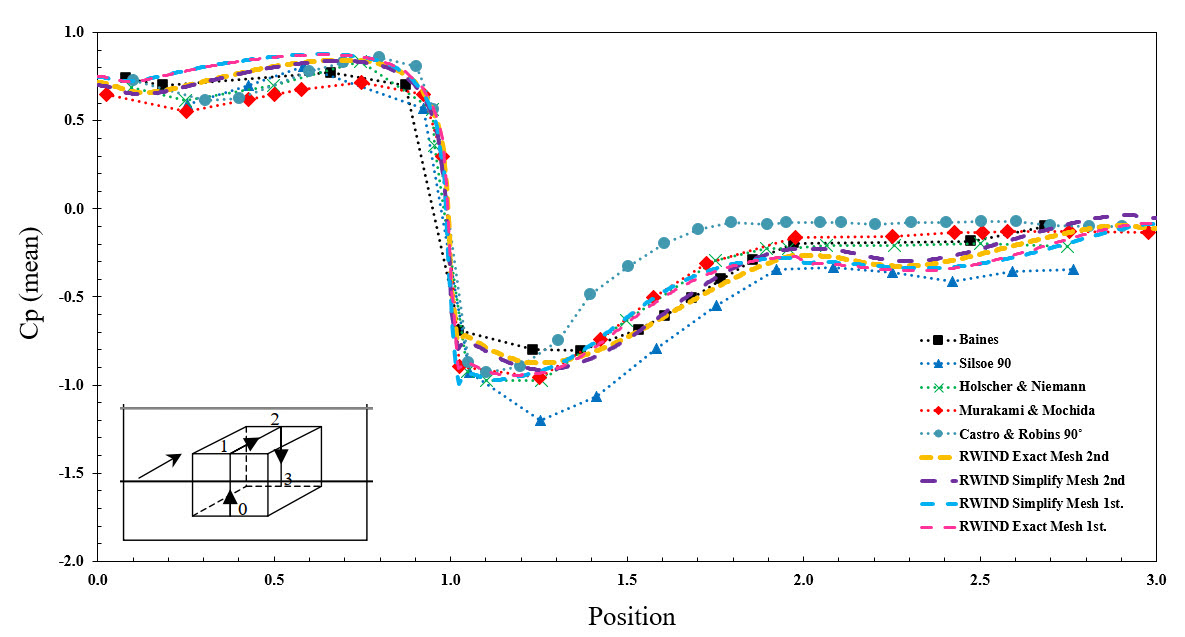
Průměrná hodnota Cp za použití zjednodušené a přesné metody sítě a diskretizace sítě prvního a druhého řádu
Průměrná hodnota Cp za použití zjednodušené a přesné metody sítě a diskretizace sítě prvního a druhého řádu
19.11.2024
046027
  • RFEM 6

Průměrná hodnota Cp za použití zjednodušené a přesné metody sítě a diskretizace sítě prvního a druhého řádu

Používá se v
  • Jak provést validační příklad v programu RWIND
Sdílet