1821x
001863
19.12.2023

Jak provést validační příklad v programu RWIND

Vytvoření validačního příkladu pro výpočetní dynamiku tekutin (CFD) je kritickým krokem při zajišťování přesnosti a spolehlivosti výsledků simulace. Tento proces zahrnuje porovnání výsledků simulací CFD s experimentálními nebo analytickými údaji z reálných scénářů. Cílem je prokázat, že model CFD dokáže věrně replikovat fyzikální jevy, které má simulovat.

Tato příručka popisuje základní kroky při vývoji validačního příkladu pro CFD simulaci, od výběru vhodného fyzického scénáře až po analýzu a porovnání výsledků. Pečlivým dodržováním těchto kroků mohou inženýři a výzkumní pracovníci zvýšit spolehlivost svých CFD modelů a připravit tak půdu pro jejich efektivní použití v různých oblastech, jako je aerodynamika, letecký průmysl a environmentální studia.

Vytvoření validačního příkladu pro simulace výpočtové dynamiky tekutin (CFD) v aplikacích větrného inženýrství zahrnuje několik specifických kroků přizpůsobených složitosti proudění větru a jeho interakcí s konstrukcemi a prostředím. Zde je podrobný návod:

1. Definice problému větrného inženýrství

  • Jasně specifikujte scénář větrného inženýrství, který simulujete, například proudění větru kolem budov, mostů nebo jiných konstrukcí.
  • Uveďte podrobnosti o terénu, charakteristikách mezní vrstvy atmosféry a všech relevantních faktorech prostředí.

2. Výběr vhodného referenčního případu

  • Vyberte dobře zdokumentovanou případovou studii z oblasti inženýrství větru se spolehlivými experimentálními nebo terénními daty. Může se jednat o testy ve větrném tunelu nebo měření v reálném měřítku.
  • Případ by měl co nejvíce odpovídat vašemu scénáři z hlediska geometrie, měřítka a větrných podmínek.

Pro naši aktuální studii byl jako referenční případ vybrán vědecký článek [1] z časopisu Journal of Wind Engineering. Model je zobrazen na obrázku 1:

3. Vývoj CFD modelu

  • ‚‘'Geometrie:‚‘' Vytvořte digitální model konstrukce a okolního terénu. U budov zahrňte podrobnosti, jako je tvar, funkce fasády a okolní konstrukce.
  • ‚‘'Vytvoření sítě:‚‘' Vytvořte síť, která přesně zachycuje geometrii, a věnujte zvláštní pozornost oblastem, kde se očekávají vysoké gradienty proudění, jako jsou rohy a okraje konstrukcí.
  • ‚‘'Okrajové a počáteční podmínky:‚‘' Nastavte okrajové podmínky, které odrážejí profil větru (rychlost a směr) v různých výškách, teplotní variace a tlakové podmínky.
  • ‚‘'Nastavení řešiče:‚‘' Vyberte vhodné řešiče a turbulence modely (například k-ε nebo Large Eddy Simulation), o kterých je známo, že fungují dobře v inženýrských simulacích větru.

Počáteční předpoklady jsou uvedeny v tabulce 1.

Tabulka 1: Rozměrové poměry a vstupní data
Základní rychlost větru V 10,13 m/s
Výška střechy h 6 m
Horizontální kóta α 6 m
Úhel střechy θroof 0 stupně
Hustota vzduchu – RWIND ρ 1,25 kg/m3
Směry větru θwind 0 stupně
Model turbulence – RWIND Steady-State RANS k-ω SST - -
Kinematická viskozita (rovnice 7.15, EN 1991-1-4) – RWIND ν 1,5*10-5 m2/s
Řád schématu – RWIND První a druhý - -
Cílová hodnota rezidua – RWIND 10-4 - -
Typ rezidua – RWIND Tlak - -
Minimální počet iterací – RWIND 800 - -
Mezní vrstva – RWIND NL 10 -
Typ funkce stěny – RWIND Vylepšená / Smíšená - -

4. Spuštění simulace

  • Proveďte simulace s ohledem na analýzy ustáleného stavu i nestacionární analýzy, protože proudění větru může mít významné časové variace.
  • Zajistěte, aby simulace běžela dostatečně dlouho, aby zachytila relevantní dynamiku proudění kolem konstrukcí.

5. Proces validace

  • ‚‘'Porovnání s referenčními údaji'‚‘: Porovnejte výsledky simulace s referenčními údaji a zaměřte se na parametry, jako jsou profily rychlosti větru, rozložení tlaku na konstrukcích a intenzita turbulence.
  • ‚‘'Analýza chyb'‚‘: Proveďte kvantitativní analýzu, abyste vyhodnotili nesrovnalosti mezi simulací a referenčními údaji.
  • ‚‘'Analýza citlivosti'‚‘: Otestujte, jak změny hustoty sítě, okrajových podmínek a modelů turbulence ovlivňují vaše výsledky.

Pro aktuální příklad je analýza citlivosti zobrazena podle obrázku 2. Výsledky celkových odporových sil jsou zkoumány pro šest různých velikostí sítě. Nezávislost sítě je dosažena při 1,6 milionu buněk (‚‘'Síť č. 4'‚‘). V CFD pomáhá studie konvergence rastru najít optimální velikost sítě (‚‘'Síť č. 4'‚‘), při které se výsledky simulace (např. odporová síla) stávají nezávislé na síti. Použití příliš hrubé sítě, jako je ‚‘'Síť č. 1'‚‘, může vést k nepřesným výsledkům, zatímco příliš jemné sítě mohou způsobit numerické chyby a prodloužit výpočetní čas, jak je znázorněno na ‚‘'Síti č. 6'‚‘ na obrázku 2.

Pro identifikaci optimální sítě, která zajistí jak přesnost, tak nezávislost na rastru, se doporučuje vyhodnotit alespoň tři různé velikosti sítě. Když se výsledky s jemnějšími sítěmi stabilizují, řešení se považuje za spolehlivé a nezávislé na hustotě sítě. Doporučuje se také prostudovat důležité reference, jako je ‚‘'ASCE 7-22 kapitola C31 – Postup ve větrném tunelu'‚‘, Yeo, D. 2020 [2], a Roache [3].

6. Dokumentace

  • Důkladně zdokumentujte svou metodiku, včetně předpokladů, okrajových podmínek a všech relevantních nastavení.
  • Přiložte podrobné srovnání svých výsledků s referenčními údaji a zdůrazněte shody i nesrovnalosti.

7. Iterativní zdokonalování

  • Pokud se vyskytnou významné odchylky od referenčních údajů, zdokonalte svůj model. To může zahrnovat úpravu rozlišení sítě, modifikaci modelů turbulence nebo revizi okrajových podmínek.
  • Opakujte simulaci a validační proces, dokud model spolehlivě nepředpovídá chování proudění větru.

8. Úvahy pro aplikace v oblasti větrného inženýrství

  • CFD simulace v oblasti větrného inženýrství často musí zohledňovat složité jevy, jako je odtrhávání vírů, nárazy větru a turbulence v proudu za tělesem.
  • Topologie měst, vliv terénu a podmínky atmosférické stability mohou významně ovlivnit proudění větru a měly by být zahrnuty do modelu, pokud jsou relevantní.

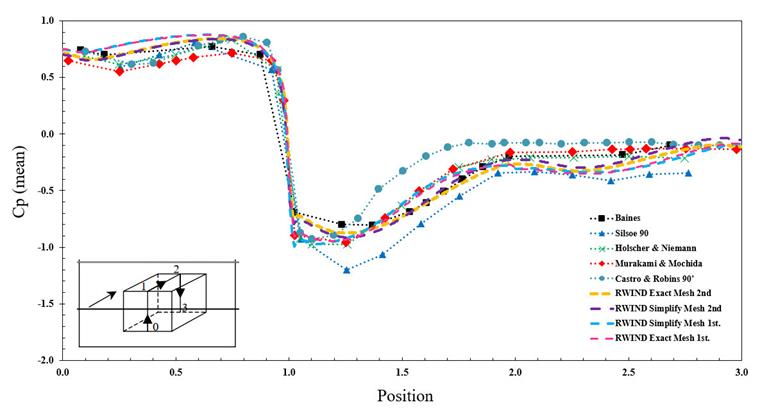
9. Výsledky

Diagram průměrné hodnoty Cp pomocí stacionární simulace je proveden pro zjednodušené a přesné metody generování sítě v programu RWIND, stejně jako pro první a druhou metodu numerického schématu. Výsledky ukazují dobrou shodu mezi experimentálními a numerickými metodami, pokud jde o referenci [1]. Obrázky 3 a 4 ukazují průměrnou hodnotu Cp v určité linii ve svislém a vodorovném směru.


10. Závěr

Tento validační proces je zásadní pro zajištění toho, aby váš CFD model přesně reprezentoval složitost proudění větru v inženýrských aplikacích. Pomáhá budovat důvěru v výsledky simulace, které lze poté použít pro rozhodování o návrhu, posuzování bezpečnosti nebo další výzkumné studie. Validační model je k dispozici ke stažení zde:


Autor

Mahyar je zodpovědný za vývoj produktů a marketing společnosti Dlubal Software, zejména za RWIND 2. Spojuje technický vývoj s dalším rozvojem komunikace produktu.

Reference


;