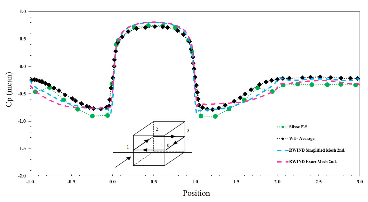
Průměrná hodnota Cp za použití zjednodušené a přesné metody generování sítě
Průměrná hodnota Cp za použití zjednodušené a přesné metody generování sítě
19.11.2024
046028
  • RFEM 6

Průměrná hodnota Cp za použití zjednodušené a přesné metody generování sítě

Používá se v
  • Jak provést validační příklad v programu RWIND
Sdílet