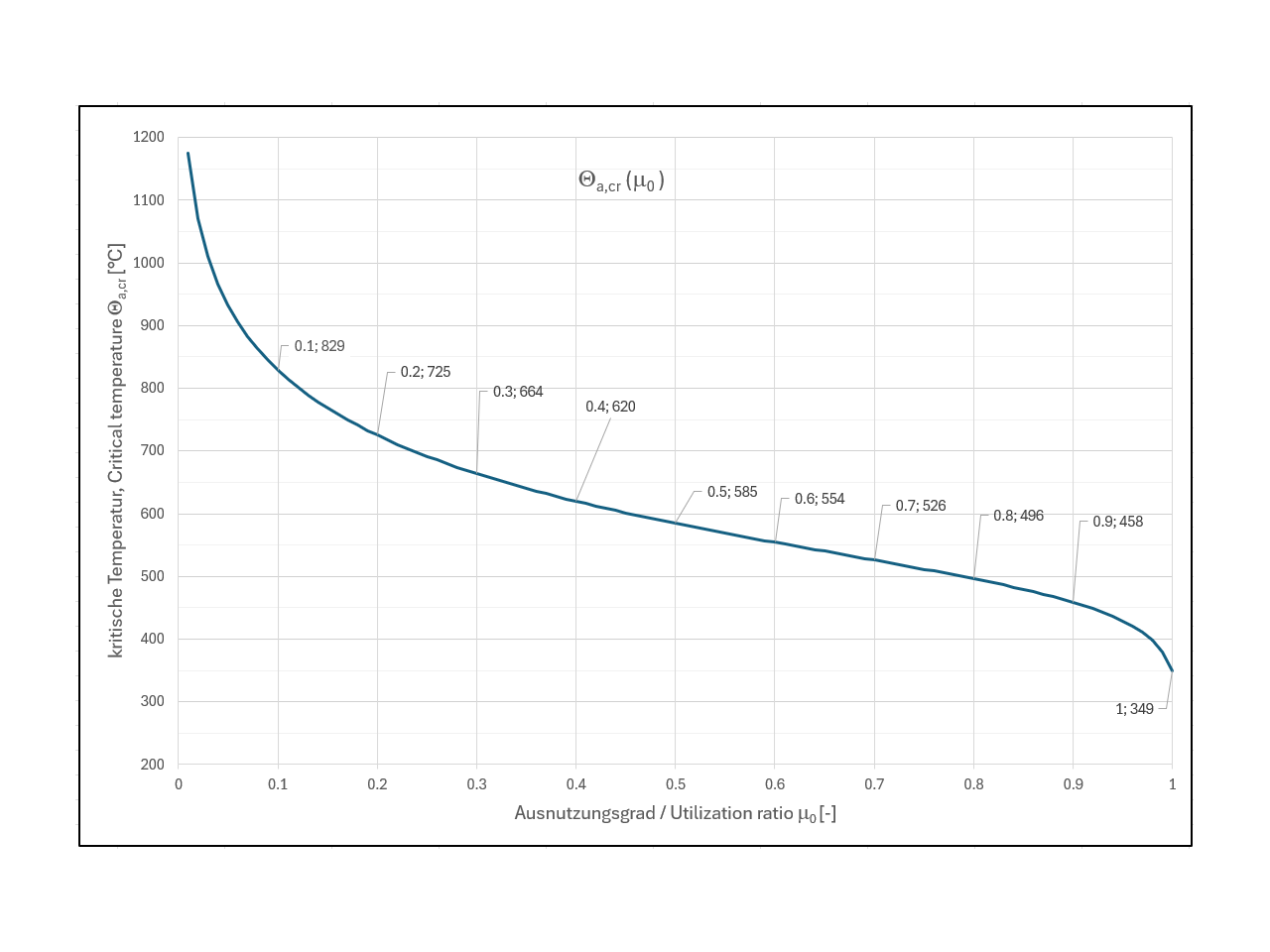
Graf funkce teploty kritické komponenty má následující průběh.
Graf funkce teploty kritické komponenty má následující průběh.
22.9.2025
059090
  • RFEM 6
  • RSTAB 9
  • Ocelové konstrukce
    • Statické konstrukce
    • Eurocode 3

KB 1988 | Funkční graf kritické teploty komponent Θa,cr

Graf funkce teploty kritické komponenty má následující průběh.

Graf funkce teploty kritické komponenty má následující průběh.
  • Kritická teplota komponenty
  • Posouzení požární odolnosti
  • Funkční graf
Používá se v
  • Posouzení ocelových konstrukcí na účinky požáru: Kritická teplota komponent
Sdílet