Modell und Berechnungsbereich
Allgemeine Simulationsparameter und Einlass-Windgeschwindigkeitsprofil
Turbulenzmodell
Konvergenzdiagramm
Druckverteilung auf der Gebäudeoberfläche
Windfeld im Vertikalschnitt
Windfeld im Horizontalschnitt bei 2/3 der Gebäudehöhe
Auswertungspfad
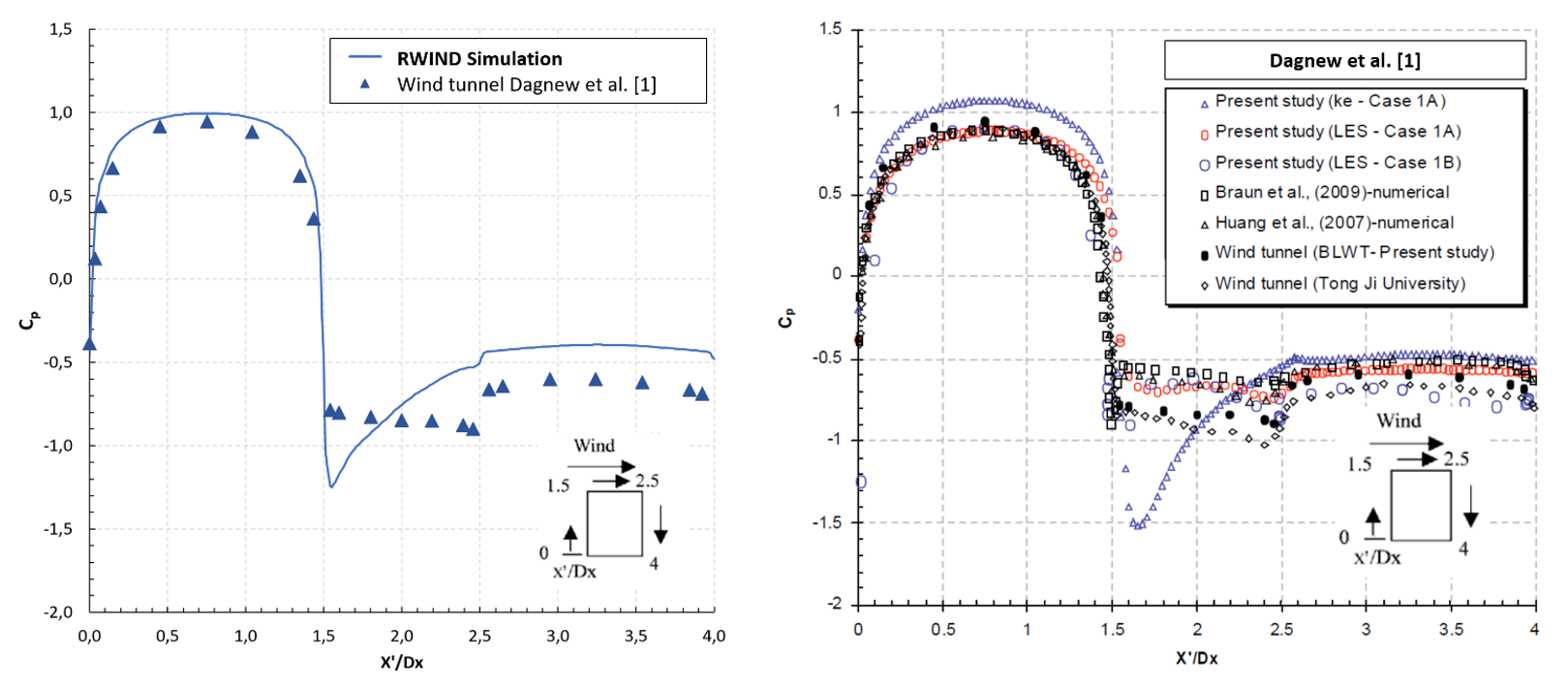
Gemittelte Druckkoeffizienten cp über den Umfang des Gebäudes in der Höhe z = 2/3 H. Vergleich mit den in [1] veröffentlichten Ergebnissen nach anderen numerischen Methoden
Grafische Verteilung der Druckkoeffizienten cp über die Luvfläche
Grafische Verteilung der Druckkoeffizienten cp über die Leefläche
Your browser does not support the video tag.
Your browser does not support the video tag.
Your browser does not support the video tag.
Gemittelte Druckkoeffizienten cp über den Umfang des Gebäudes in der Höhe z = 2/3 H nach transienter Berechnung
Modell und Berechnungsbereich
Allgemeine Simulationsparameter und Einlass-Windgeschwindigkeitsprofil
Turbulenzmodell
Konvergenzdiagramm
Druckverteilung auf der Gebäudeoberfläche
Windfeld im Vertikalschnitt
Windfeld im Horizontalschnitt bei 2/3 der Gebäudehöhe
Auswertungspfad
Gemittelte Druckkoeffizienten cp über den Umfang des Gebäudes in der Höhe z = 2/3 H. Vergleich mit den in [1] veröffentlichten Ergebnissen nach anderen numerischen Methoden
Grafische Verteilung der Druckkoeffizienten cp über die Luvfläche
Grafische Verteilung der Druckkoeffizienten cp über die Leefläche
Your browser does not support the video tag.
Your browser does not support the video tag.
Your browser does not support the video tag.
Gemittelte Druckkoeffizienten cp über den Umfang des Gebäudes in der Höhe z = 2/3 H nach transienter Berechnung
30. Mai 2024
008680
  • RWIND Simulation 1
  • Gebäude
  • Windsimulation & Windlast-Generierung

Modell und Berechnungsbereich

Verwendet in
  • Windlasten auf ein hohes Gebäude
Teilen
30. Mai 2024
008681
  • RWIND Simulation 1
  • Gebäude
  • Windsimulation & Windlast-Generierung
Allgemeine Simulationsparameter und Einlass-Windgeschwindigkeitsprofil
Verwendet in
  • Windlasten auf ein hohes Gebäude
Teilen
30. Mai 2024
008682
  • RWIND Simulation 1
  • Gebäude
  • Windsimulation & Windlast-Generierung
Turbulenzmodell
Verwendet in
  • Windlasten auf ein hohes Gebäude
Teilen
30. Mai 2024
008683
  • RWIND Simulation 1
  • Gebäude
  • Windsimulation & Windlast-Generierung
Konvergenzdiagramm
Verwendet in
  • Windlasten auf ein hohes Gebäude
Teilen
30. Mai 2024
008684
  • RWIND Simulation 1
  • Gebäude
  • Windsimulation & Windlast-Generierung
Druckverteilung auf der Gebäudeoberfläche
Verwendet in
  • Windlasten auf ein hohes Gebäude
Teilen
30. Mai 2024
008685
  • RWIND Simulation 1
  • Gebäude
  • Windsimulation & Windlast-Generierung
Windfeld im Vertikalschnitt
Verwendet in
  • Windlasten auf ein hohes Gebäude
Teilen
30. Mai 2024
008686
  • RWIND Simulation 1
  • Gebäude
  • Windsimulation & Windlast-Generierung
Windfeld im Horizontalschnitt bei 2/3 der Gebäudehöhe
Verwendet in
  • Windlasten auf ein hohes Gebäude
Teilen
30. Mai 2024
008687
  • RWIND Simulation 1
  • Gebäude
  • Windsimulation & Windlast-Generierung
Auswertungspfad
Verwendet in
  • Windlasten auf ein hohes Gebäude
Teilen
30. Mai 2024
008688
  • RWIND Simulation 1
  • Gebäude
  • Windsimulation & Windlast-Generierung
Gemittelte Druckkoeffizienten cp über den Umfang des Gebäudes in der Höhe z = 2/3 H. Vergleich mit den in [1] veröffentlichten Ergebnissen nach anderen numerischen Methoden
Verwendet in
  • Windlasten auf ein hohes Gebäude
Teilen
30. Mai 2024
013153
  • RFEM 5
  • RSTAB 8
Grafische Verteilung der Druckkoeffizienten cp über die Luvfläche
Verwendet in
  • Windlasten auf ein hohes Gebäude
Teilen
30. Mai 2024
008689
  • RWIND Simulation 1
  • Gebäude
  • Windsimulation & Windlast-Generierung
    • Finite-Elemente-Berechnung
Grafische Verteilung der Druckkoeffizienten cp über die Leefläche
Verwendet in
  • Windlasten auf ein hohes Gebäude
Teilen
30. Mai 2024
036306
  • RFEM 6
  • Windsimulation & Windlast-Generierung
Animation des Windfeldes im Horizontalschnitt bei 2/3 der Gebäudehöhe
Verwendet in
  • Windlasten auf ein hohes Gebäude
Teilen
30. Mai 2024
036305
  • RFEM 6
  • Windsimulation & Windlast-Generierung
Animation des Windfeldes im Vertikalschnitt
Verwendet in
  • Windlasten auf ein hohes Gebäude
Teilen
30. Mai 2024
036304
  • RFEM 6
  • Windsimulation & Windlast-Generierung
Animation der Druckverteilung auf der Luv- und Leefläche des Gebäudes
Verwendet in
  • Windlasten auf ein hohes Gebäude
Teilen
30. Mai 2024
036925
  • Windsimulation & Windlast-Generierung
Gemittelte Druckkoeffizienten cp über den Umfang des Gebäudes in der Höhe z = 2/3 H nach transienter Berechnung. Vergleich mit den Ergebnissen der stationären Berechnung sowie den in [1] veröffentlichten Ergebnissen
Gemittelte Druckkoeffizienten cp über den Umfang des Gebäudes in der Höhe z = 2/3 H nach transienter Berechnung

Verwendet in
  • Windlasten auf ein hohes Gebäude
Teilen