11288x
001624
19. Februar 2020

Windlasten auf ein hohes Gebäude

Diese Studie vergleicht den Winddruck auf ein hohes Gebäude aus der RWIND-Simulation-Berechnung mit den Ergebnissen von Dagnew et al., die auf der 11th Americas Conference on Wind Engineering im Juni 2009 veröffentlicht worden sind. In diesem Artikel werden die Windergebnisse auf das Commonwealth Advisory Aeronautical Council (CAARC) Gebäude nach verschiedenen numerischen Methoden mit den experimentellen Daten auf Basis von Windkanalversuchen miteinander verglichen.

RWIND Simulation ist in erster Linie auf eine schnelle Ergebnisermittlung für relativ komplexe und große Modelle ausgelegt. In diesem Programm ist die Standardeinstellung so gewählt, dass konsequent mit einem Standardrechner innerhalb von fünf Minuten ein Ergebnis ermittelt werden kann. Die so ermittelten Ergebnisse stimmen relativ gut mit den veröffentlichten Ergebnissen aus dem oben erwähnten Artikel [1] überein und werden im Nachgang entsprechend erörtert.

Berechnungsbereich und Vernetzung

Das CAARC-Gebäude hat eine rechteckig-prismatische Form mit den Abmessungen 150 x 100 x 600 ft. Der umschreibende Windkanal mit einer Gesamthöhe von 1.200 ft ist in Strömungsrichtung 4.950 ft lang und senkrecht dazu 3.000 ft breit.

Das Finite-Volumen-Netz mit 540.180 Netzzellen wurde in der Nähe des Gebäudemodells lokal verfeinert. Dieses relativ grobe Netz garantiert eine schnelle Berechnung. Optional könnte RWIND Simulation den Berechnungsbereich auch mit bis zu 50 Millionen Netzelementen vernetzen.

Konfiguration der Simulation

Die allgemeinen Simulationsparameter und das Einlass-Windgeschwindigkeitsprofil sind nach Dagnew et al. [1] wie folgt festgelegt.

Die Modell-Randbedingungen sind wie folgt.

Parameter Obere, linke und rechte Windkanalseite Einlass Auslass Modelloberflächen und Boden
Geschwindigkeit Schlupf Windgeschwindigkeitsprofil Zero Gradient 0 m/s
Druck Zero Gradient 0 Pa Zero Gradient Zero Gradient
Turbulenzintensität - 0,15 % - -

Die Turbulenzwirkung ist über ein k-ε-Modell mit einer Turbulenzintensität von 0,15 % wie folgt definiert.

Stationäre Berechnung

Die Berechnung wurde mit dem zur OpenFOAM-SIMPLE-Gleichungslöserfamilie relativen RWIND-Simulation-Gleichungslöser durchgeführt. Dieser Löser ist ein stationärer Gleichungslöser für inkompressible, turbulente Strömungen. Der Berechnungsprozess, einschließlich der Netzgenerierung und Ergebnisvorbereitung, hat auf einem PC mit acht Kernen (Intel i9-9900K) rund fünf Minuten benötigt. Dabei hat der Prozess nach etwa 350 Iterationen die im Standard voreingestellte Konvergenzschranke mit einer verbleibenden Druckdifferenz von 0,001 erreicht. Für eine verbleibende Druckdifferenz von 0,0001 findet das Programm nach 700 Iterationen eine Lösung. Diese Ergebnisse unterscheiden sich jedoch nicht signifikant von den Ergebnissen mit der größeren Druckdifferenz.

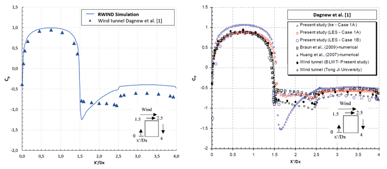
Die Bilder 05 bis 07 zeigen die Druckverteilung auf der Gebäudeoberfläche und das Geschwindigkeitsfeld um das Gebäude. Zu Validierungs- und Vergleichszwecken wird der berechnete Druckkoeffizient cp mit den aus [1] gegebenen Daten in den Bildern 09 bis 11 verglichen. Der cp Druckkoeffizient ist wie folgt definiert.

Auf der Luvfläche decken sich die Ergebnisse von RWIND Simulation sehr gut mit den experimentellen Windkanalversuchsdaten von Dagnew et al. [1]. An den Seiten- und Leeflächen weichen die Werte 10 bis 20 % von den gemessenen Daten und errechneten Ergebnissen ab. Diese Unterschiede basieren auf dem verwendeten k-ε-Turbulenzmodell und der relativ groben Vernetzung. Die Ergebnisgenauigkeit kann durch Verwendung eines genaueren Turbulenzmodells (LES) erhöht werden. Dieses Turbulenzmodell wird derzeit in RWIND Simulation implementiert und wird in den zukünftigen Versionen verfügbar sein.

RWIND Simulation Ergebnisse

Vergleich mit Daten und Ergebnissen aus [1]

Zur Erläuterung des vorausgegangenen Diagramms kann ergänzt werden, dass sich die Einheit der Abszissenachse x'/Dx aus der tatsächlich vorhandenen x-Koordinate aus RWIND sowie dem Achsabstand aus RWIND ergibt, welcher 100 ft beträgt.


Transiente Berechnung

Für hohe und schlanke Konstruktionen ist die Simulation einer transienten (instationären) Strömung sinnvoll, um mögliche Schäden infolge von Wirbelablösungen zu berücksichtigen. RWIND 2 verwendet für die Simulation instationärer Strömungen den „BlueDySolver“, der aus dem Standard OpenFOAM®-Solver „PimpleFoam“ entwickelt wurde. Im Rahmen dieser Simulation wurden über eine Simulationszeit von 1200 Sekunden mit einem Zeitschritt von 12 Sekunden 91 Strömungsanimationen erstellt.

Das Programm bietet die Möglichkeit diese Zeitschichten automatisch zu ändern und die Strömung zwischen zwei Zeitschichten durch lineare Interpolation so zu glätten, dass über die gesamte Simulationszeit eine zusammenhängende Animation der Strömung dargestellt werden kann. Die folgenden Animationen zeigen die Druckverteilung auf der Gebäudeoberfläche sowie die Geschwindigkeitsverteilung um das Gebäude, die mithilfe der transienten Berechnung erzielt wurden.



Um die Ergebnisse der transienten Berechnung mit denen der stationären Berechnung bzw. denen von Dagnew et al. [1] vergleichen zu können, wurde für diese Simulation ebenfalls der Druckkoeffizient cp für den in Bild 08 dargestellten Auswertungspfad bestimmt. Auf dem folgenden Diagramm werden alle Ergebnisse dargestellt.

Auch die Ergebnisse der transienten Berechnung stimmen auf der Luvfläche sehr gut mit den Ergebnissen der stationären Berechnung sowie den experimentellen Windkanalversuchsdaten von Dagnew et al. [1] überein. An der Leefläche weichen die Ergebnisse der transienten Strömung ähnlich wie die der stationären Strömung um ca. 10 bis 20 % von den gemessenen Daten ab. An den Seitenflächen sind die Abweichungen der transienten Ergebnisse zu den anderen Ergebnissen etwas größer.

Dies kann zum einen darauf zurückgeführt werden, dass die Software RWIND Simulation für die transiente Berechnung einen anderen Solver verwendet als für die stationäre Simulation und zum anderen auf die stetige Weiterentwicklung und Verbesserung der Software. Aus dieser Gegenüberstellung wird zudem deutlich, dass das K-Omega Turbulenzmodell eine größere Übereinstimmung mit den experimentellen Ergebnissen liefert als das K-Epsilon Turbulenzmodell. Im Weiteren wurde die stationäre Simulation um eine Berechnung nach II. Ordnung erweitert. Diese Ergebnisse werden ebenfalls im vorausgegangenen Diagramm dargestellt, unterscheiden sich jedoch nur geringfügig von denen nach I. Ordnung.


Autor

Andreas verantwortet die Entwicklung von RSTAB, RFEM und RWIND Simulation sowie den Bereich Membranbau. Zusätzlich koordiniert er Qualitätssicherungsprozesse und unterstützt bei technischen Fragestellungen im Kundensupport.

Links
Referenzen
Downloads


;