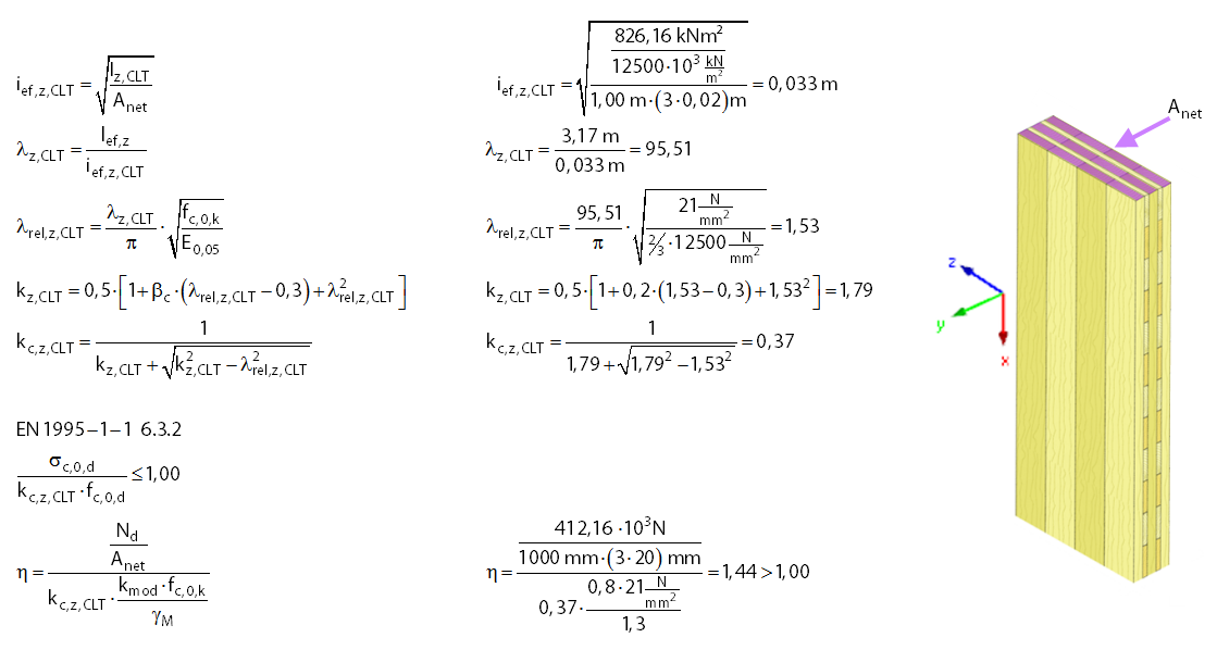
Ersatzstabnachweis nach EN-1995-1-1 Kapitel 6.3.2
Ersatzstabnachweis nach EN-1995-1-1 Kapitel 6.3.2
30. Mai 2024
009661
  • RFEM 5
  • RF-HOLZ Pro 5
  • RF-STABIL 5
    • Holzbau
    • Stabilitätsnachweis
    • Eurocode 5

Ersatzstabnachweis nach EN-1995-1-1 Kapitel 6.3.2

Verwendet in
  • Stabilitätsbetrachtung von flächigen Bauteilen am Beispiel einer Brettsperrholzwand 2
Teilen