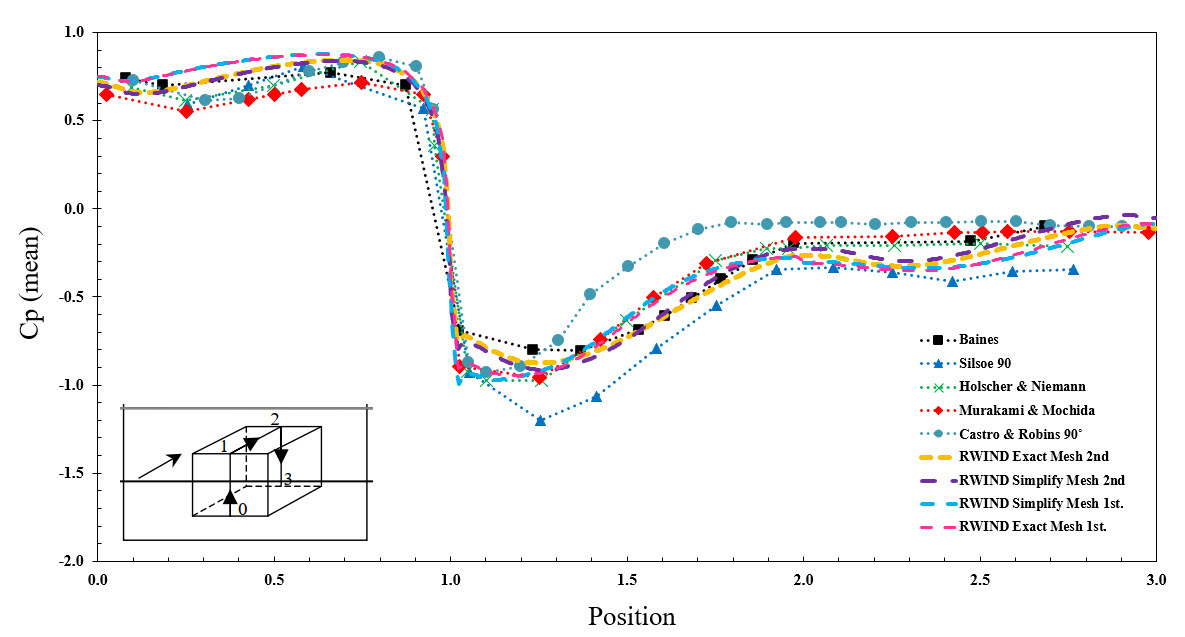
Durchschnittlicher Cp-Wert bei Verwendung der vereinfachten und der exakten Netzmethode sowie Diskretisierung erster und zweiter Ordnung
Durchschnittlicher Cp-Wert bei Verwendung der vereinfachten und der exakten Netzmethode sowie Diskretisierung erster und zweiter Ordnung
19. November 2024
046027
  • RFEM 6

Durchschnittlicher Cp-Wert bei Verwendung der vereinfachten und der exakten Netzmethode sowie Diskretisierung erster und zweiter Ordnung

Verwendet in
  • Durchführung eines Validierungsbeispiels in RWIND
Teilen