1821x
001863
19. Dezember 2023

Durchführung eines Validierungsbeispiels in RWIND

Ein Validierungsbeispiel für die Strömungsmechanik (CFD) zu erstellen, ist ein entscheidender Schritt, um die Genauigkeit und Zuverlässigkeit von Simulationsergebnissen sicherzustellen. Dabei werden die Ergebnisse von CFD-Simulationen mit experimentellen oder analytischen Daten aus realen Szenarien verglichen. Das Ziel ist es festzustellen, dass das CFD-Modell die physikalischen Phänomene, die es simulieren soll, getreu nachbilden kann.

Dieser Leitfaden beschreibt die wesentlichen Schritte bei der Entwicklung eines Validierungsbeispiels für die CFD-Simulation: von der Auswahl eines geeigneten physikalischen Szenarios über die Analyse bis hin zum Vergleich der Ergebnisse. Wenn Ingenieure und Techniker diese Schritte sorgfältig befolgen, können sie die Reliabilität ihrer CFD-Modelle erhöhen und so den Weg für deren effektive Anwendung in verschiedenen Bereichen wie der Aerodynamik, der Luft- und Raumfahrt sowie der Umweltforschung ebnen.

Die Erstellung eines Validierungsbeispiels für CFD-Simulationen (Computational Fluid Dynamics) in windtechnischen Anwendungen umfasst mehrere spezifische Schritte, die auf die Komplexität der Windströmung und ihre Wechselwirkungen mit Strukturen und Umgebungen zugeschnitten sind. Hier eine Schritt-für-Schritt-Anleitung:

1. Definition des Windtechnik-Problems

  • Geben Sie klar an, welches windtechnische Szenario Sie simulieren, z. B. die Windströmung um Gebäude, Brücken oder andere Bauwerke.
  • Fügen Sie Details über das Gelände, die Eigenschaften der atmosphärischen Grenzschicht und alle relevanten Umweltfaktoren hinzu.

2. Auswahl des geeigneten Benchmark-Falls

  • Wählen Sie eine gut dokumentierte Fallstudie zur Windtechnik, die zuverlässige experimentelle oder Felddaten enthält. Dabei kann es sich um Windkanaltests oder umfassende Messungen handeln.
  • Der Fall sollte Ihrem Szenario in Bezug auf Geometrie, Maßstab und Windbedingungen stark ähneln.

Für unsere aktuelle Studie wird das wissenschaftliche Papier [1] aus dem Journal of Wind Engineering als Benchmark-Fall ausgewählt. Das Modell wird in Bild 1 gezeigt:

3. Entwicklung des CFD-Modells

  • Geometrie: Erstellen Sie ein digitales Modell der Struktur sowie des umliegenden Geländes. Bei Gebäuden erfassen Sie Details wie Form, Fassadeneigenschaften und nahegelegene Strukturen.
  • Vernetzung: Erstellen Sie ein Netz, das die Geometrie genau erfasst. Achten Sie dabei besonders auf Bereiche mit hohen Strömungsgradienten, wie beispielsweise Ecken und Kanten von Strukturen.
  • Rand- und Anfangsbedingungen: Legen Sie Randbedingungen fest, die das Windprofil (Geschwindigkeit und Richtung) bei unterschiedlichen Höhen, Temperaturschwankungen und Druckbedingungen darstellen.
  • Solver-Einstellungen: Wählen Sie geeignete Löser und Turbulenzmodelle (wie etwa k-ε oder Large-Eddy-Simulation) aus, die sich in windtechnischen Simulationen bereits bewährt haben.

Die anfänglichen Annahmen werden in Tabelle 1 berücksichtigt.

Tabelle 1: Abmessungsverhältnis und Eingabedaten
Basiswindgeschwindigkeit V 10.13 m/s
Dachhöhe h 6 m
Horizontale Abmessung α 6 m
Dachwinkel θroof 0 Grad
Luftdichte – RWIND ρ 1.25 kg/m3
Windrichtungen θwind 0 Grad
Turbulenzmodell – RWIND Steady-State RANS k-ω SST - -
Kinematische Viskosität (Gleichung 7.15, EN 1991-1-4) – RWIND ν 1.5*10-5 m2/s
Schemaordnung – RWIND Erste und Zweite - -
Restwert - RWIND 10-4 - -
Residualtyp – RWIND Druck - -
Minimale Anzahl von Iterationen – RWIND 800 - -
Grenzschicht – RWIND NL 10 -
Typ der Wandfunktion – RWIND Erweitert / Gemischt - -

4. Simulation ausführen

  • Führen Sie Simulationen durch, bei denen sowohl stationäre als auch transiente Berechnungen berücksichtigt werden, da die Windströmung erhebliche zeitliche Schwankungen aufweisen kann.
  • Stellen Sie sicher, dass die Simulation ausreichend lange läuft, um die relevante Strömungsdynamik rund um die Strukturen vollständig erfassen zu können.

5. Validierungsprozess

  • Vergleich mit Benchmark-Daten: Vergleichen Sie Ihre Simulationsergebnisse mit den Daten aus Benchmark-Fällen und achten Sie dabei insbesondere auf Parameter wie Windgeschwindigkeitsprofile, die Druckverteilung auf Strukturen und die Turbulenzintensität.
  • Fehleranalyse: Führen Sie eine quantitative Analyse durch, um Diskrepanzen zwischen Ihrer Simulation und den Benchmark-Daten zu bewerten.
  • Sensitivitätsanalyse: Testen Sie, wie sich Änderungen in der Netzdichte, den Randbedingungen und den Turbulenzmodellen auf Ihre Ergebnisse auswirken.

Für das aktuelle Beispiel wird die Sensitivitätsanalyse gemäß Bild 2 dargestellt. Dabei werden die Ergebnisse der gesamten Widerstandskräfte für sechs verschiedene Netzgrößen untersucht. Die Netzunabhängigkeit wird bei 1,6 Millionen Zellen (Netz #4) erreicht. In der CFD hilft eine Gitterkonvergenzstudie dabei, die optimale Netzgröße (Netz #4) zu ermitteln, ab der die Simulationsergebnisse (z. B. Widerstandskraft) netzunabhängig werden. Die Verwendung eines zu groben Netzes wie "Netz #1" kann zu ungenauen Ergebnissen führen, während zu feine Netze numerische Fehler einführen und die Rechenzeit erhöhen können, wie in "Netz #6" in Bild 2 gezeigt.

Um das optimale Netz zu identifizieren, das sowohl Genauigkeit als auch Gitterunabhängigkeit gewährleistet, wird empfohlen, mindestens drei verschiedene Netzgrößen zu bewerten. Wenn sich die Ergebnisse bei feiner werdenden Netzen stabilisieren, gilt die Lösung als zuverlässig und unabhängig von der Netzdichte. Es wird auch empfohlen, wichtige Referenzen wie „ASCE 7-22, Kapitel C31 – Windkanalverfahren”, Yeo, D. 2020, und Roache, [#Refer [3]], zu überprüfen.

6. Dokumentation

  • Es ist wichtig, dass Sie Ihre Methodik gründlich dokumentieren, einschließlich der Annahmen, Randbedingungen und aller relevanten Einstellungen.
  • Bitte fügen Sie einen detaillierten Vergleich Ihrer Ergebnisse mit den Benchmark-Daten bei und weisen Sie sowohl auf Vereinbarungen als auch auf Diskrepanzen hin.

7. Iterative Verfeinerung

  • Bei erheblichen Abweichungen von den Benchmark-Daten sollten Sie Ihr Modell verfeinern. Hierzu können die Anpassung der Netzauflösung, die Änderung von Turbulenzmodellen oder die Überarbeitung der Randbedingungen gehören.
  • Wiederholen Sie den Simulations- und Validierungsprozess, bis das Modell das Windströmungsverhalten zuverlässig voraussagen kann.

8. Überlegungen zu Anwendungen in der Windtechnik

  • Bei CFD-Simulationen in der Windtechnik müssen häufig komplexe Phänomene wie Wirbelablösung, Rütteln und Nachlaufeffekte berücksichtigt werden.
  • Die städtische Topologie, Geländeeffekte und atmosphärische Stabilitätsbedingungen können den Windfluss erheblich beeinflussen. Sie sollten daher gegebenenfalls in das Modell einbezogen werden.

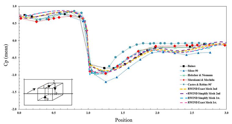
9. Ergebnisse

Das Diagramm des durchschnittlichen Cp-Werts mittels stationärer Simulation wird für die vereinfachten und exakten Netzgenerierungsmethoden in RWIND sowie die erste und zweite Methode des numerischen Schemas durchgeführt. Die Ergebnisse zeigen eine gute Übereinstimmung zwischen den experimentellen und numerischen Methoden hinsichtlich der Referenz [1]. Bilder 3 und 4 zeigen den durchschnittlichen Cp-Wert entlang einer bestimmten Linie in vertikaler und horizontaler Richtung.


10. Fazit

Dieser Validierungsprozess ist entscheidend dafür, dass Ihr CFD-Modell die Komplexität der Windströmung in technischen Anwendungen genau abbildet. Er hilft dabei, Vertrauen in die Simulationsergebnisse zu gewinnen, die anschließend für Entscheidungen bei den Bemessungen, Sicherheitsbewertungen oder weitere Forschungsstudien genutzt werden können. Das Validierungsmodell kann hier heruntergeladen werden:


Autor

Mahyar ist für die Produktentwicklung sowie das Marketing der Dlubal Software zuständig, insbesondere für RWIND 2. Er verbindet technische Entwicklung mit der Weiterentwicklung der Produktkommunikation.

Referenzen


;