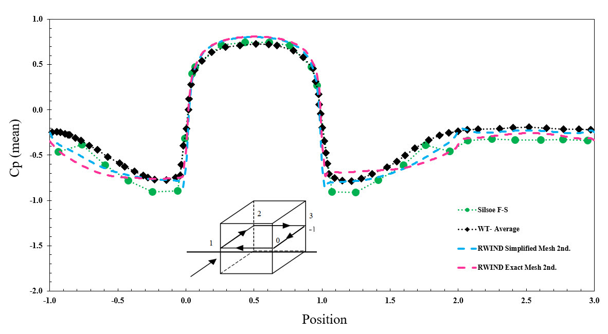
Durchschnittlicher Cp-Wert mit vereinfachter und exakter Netzmethode
Durchschnittlicher Cp-Wert mit vereinfachter und exakter Netzmethode
19. November 2024
046028
  • RFEM 6

Durchschnittlicher Cp-Wert mit vereinfachter und exakter Netzmethode

Verwendet in
  • Durchführung eines Validierungsbeispiels in RWIND
Teilen