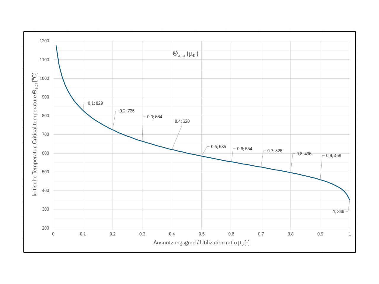
Der Funktionsgraph der kritischen Bauteiltemperatur hat folgenden Verlauf
Der Funktionsgraph der kritischen Bauteiltemperatur hat folgenden Verlauf
22. September 2025
059090
  • RFEM 6
  • RSTAB 9
  • Stahlbau
    • Statik und Tragwerksplanung
    • Eurocode 3

KB 1988 | Funktionsgraph der kritischen Bauteiltemperatur Θa,cr

Der Funktionsgraph der kritischen Bauteiltemperatur hat folgenden Verlauf

Der Funktionsgraph der kritischen Bauteiltemperatur hat folgenden Verlauf
  • Kritische Bauteiltemperatur
  • Brandbemessung
  • Funktionsgraph
Verwendet in
  • Brandbemessung im Stahlbau: kritische Bauteiltemperatur
Teilen