479x
001988
28. Oktober 2025

Brandbemessung im Stahlbau: kritische Bauteiltemperatur

Zur Beschichtung von Stahloberflächen können reaktive Brandschutzsysteme aufgebracht werden. Zur Ermittlung der erforderlichen Schichtdicke ist die Kenntnis der kritischen Bauteiltemperatur erforderlich.

Brandbemessung

Die Brandbemessung wird in DIN EN 1993 Teil 1-2 geregelt. Dort in Kapitel 4.2 werden „Einfache Bemessungsverfahren“ vorgestellt, welche die Basis für die Bemessung in RSTAB 9 und RFEM 6 bilden.
Dabei werden auf Bauteilebene die Einwirkungen den Beanspruchbarkeiten gegenübergestellt. Die Brandeinwirkungen aus Temperaturerhöhung werden auf Basis von Temperaturkurven ermittelt (nominelle Brandkurven). Die Einwirkungen werden unter reduzierten Teilsicherheitsbeiwerten in der außergewöhnlichen Bemessungssituation ermittelt. Die Widerstände werden durch eine Abminderung der Materialeigenschaften aufgrund der erhöhten Temperatur berücksichtigt.

Kritische Bauteiltemperatur Θa,cr

Zusätzlich zu o.g. Nachweisverfahren wird in EN 1993-1-2, Kapitel 4.2.4 das Nachweisverfahren auf Temperaturebene auf Basis der kritischen Bauteiltemperatur beschrieben. Dies wird dann interessant, wenn reaktive Brandschutzsysteme auf den Stahl aufgetragen werden und deren Schichtdicken ermittelt werden sollen.
Die kritische Bauteiltemperatur stellt diejenige Temperatur dar, die maximal erreicht werden darf, sodass der untersuchte Stab bzw. Stabsatz den Einwirkungen gerade noch widersteht. Maßgebend ist die niedrigste kritische Bauteiltemperatur je Bauteil.
Die Gleichung zur Ermittlung von Θa,cr lautet:

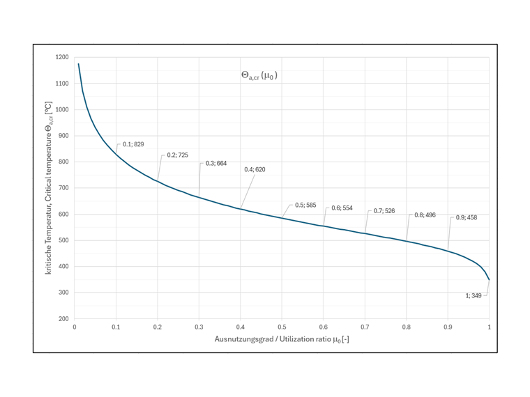
Der Parameter zur Ermittlung der kritische Bauteiltemperatur ist der Ausnutzungsgrad μ0, der das Verhältnis aus den Einwirkungen unter Brandbeanspruchung Efi,d und den Widerständen zu Beginn (t = 0) des Brandes Rfi,d,0 darstellt. Die kritische Bauteiltemperatur ist somit unabhängig von der Brandbemessung, bei der die Widerstände in Abhängigkeit der Branddauer oder Temperaturkurven usw. ermittelt werden.

Der Funktionsgraph von Θa,cr hat folgenden Verlauf:

Die Ausnutzungsgrade μ0 dürfen aus elastischen oder plastischen Nachweisverfahren ermittelt werden.

Anwendungsgrenzen, Randbedingung

Für die Berechnung der kritischen Bauteiltemperatur in RFEM 6 gelten folgende Einschränkungen:

  • nicht anwendbar, wenn Verformungskriterien maßgebend sind,
  • nicht anwendbar, wenn Einflüsse aus Stabilität zu beachten sind,
  • Ausnutzungsgrade μ0 < 0.013 dürfen nicht angesetzt werden.
  • Es liegen Bauteile mit Querschnittsklasse 1, 2 oder 3 vor oder es liegen zugbeanspruchte Bauteile vor.
  • Das Bauteil ist über den gesamten Querschnitt gleichmäßig erwärmt.

Rechenbeispiel

Am Beispiel eines Einfeldträgers wird die Berechnung der kritischen Bauteiltemperatur für den Schub- und Normalspannungsnachweis gezeigt:

Werkstoff Stahl S235
Spannweite L = 2 m
Ständige Last g = 3 kN/m
Verkehrslast p = 5 kN/m
Bemessungssituation EN 1990; GZT - Außergewöhnlich - ψ2,1
Teilsicherheitsbeiwerte ψ2,1 = 0,3
Nachweisformat elastisch/elastisch
Querschnitt HEA 140 - DIN 1025-3
max. Statisches Moment max. Sy = 86,77 cm3 (ermittelt mittels RSECTION 1)
Trägheitsmoment Iy = 1033,34 cm4 (ermittelt mittels RSECTION 1)
Widerstandsmoment Wy = 155,4 cm3
Stegdicke tw = 0,55 cm

Schubspanungsnachweis:

Normalspanungsnachweis:

Maßgebend ist die minimale kritische Bauteiltemperatur:

Anwendungsbeispiel in RFEM 6

Um in RFEM 6 eine Brandbemessung durchführen zu können, muss den zu bemessenden Stäben im Add-On Stahlbemessung zusätzlich zur Brandschutzkonfiguration eine Tragfähigkeitskonfiguration als Voraussetzung für die Brandbemessung zugewiesen werden.
Die Lastkombinationen in der Bemessungssituation für die Brandbemessung werden auf Basis der außergewöhnlichen Bemessungssituation ψ2,1 nach EN 1990 | 2010-04 ermittelt.
In angehängtem Beispielmodell wird den Stäben Nr. 1 und 2 eine Konfiguration für die Brandbemessung zugewiesen. Im Basisdialog unter den Bemessungsparametern wird die Berechnung der kritischen Bauteiltemperatur ausgewählt.

Die Festlegung, ob die Querschnittsnachweise in der Brandbemessung elastisch oder plastisch geführt werden, wird in der Tragfähigkeitskonfiguration getroffen: Register 'Basis|Stäbe' - Optionen - Elastische Bemessung (auch für Querschnitte der Klasse 1 und 2). Bei Auswahl dieser Option wird elastisch, andernfalls, wenn möglich, plastisch bemessen.

Nach erfolgter Berechnung der Stahlbemessung erscheint in den Nachweisdetails neben den Ergebnissen für die Brandbemessung auch die Berechnung der kritischen Bauteiltemperatur.

Überprüfung der Anwendungsgrenzen in RFEM 6

Die Anwendungsgrenzen bezüglich der Beschränkung auf die Querschnittsklassen 1 bis 3 sowie der Beschränkung auf den Mindestausnutzungsgrad μ0,min = 0.013 werden von RFEM 6 automatisch geprüft. Werden diese Grenzen überschritten, werden entsprechende Hinweise ausgegeben.

Zum Download der verwendeten Modelle siehe 'Modelle zum Download' unten auf der Webseite oder klicken Sie auf die folgenden Bilder.


Autor

Marco bearbeitet im Customer Support technische Anfragen rund um die Software. Er arbeitet sich zuverlässig in neue Themen ein und entwickelt strukturierte Lösungswege.



;