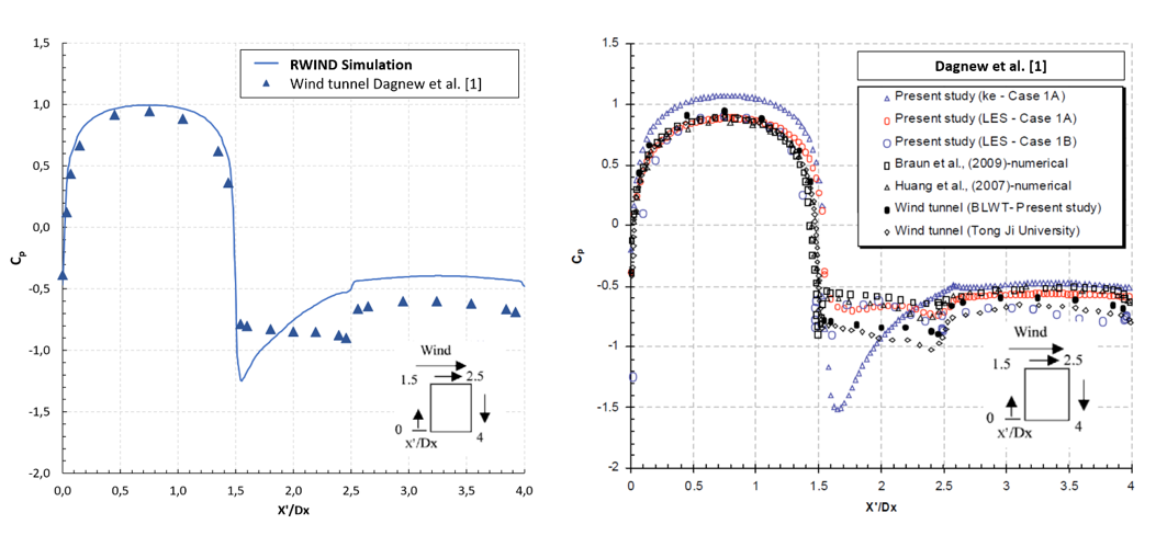
Values of Mean Pressure Coefficients cp Along Perimeter at Z/H = 2/3. Comparison with Results of Other Numerical Methods Published in [1]
Values of Mean Pressure Coefficients cp Along Perimeter at Z/H = 2/3. Comparison with Results of Other Numerical Methods Published in [1]
2024-05-30
008688
  • RWIND Simulation 1
  • Buildings
  • Wind Simulation & Wind Load Generation

Values of Mean Pressure Coefficients cp Along Perimeter at Z/H = 2/3. Comparison with Results of Other Numerical Methods Published in [1]

Used in
  • Wind Loads on High Building
Share