11292x
001624
2020-02-19

Wind Loads on High Building

The following study compares the wind pressure on a tall building obtained by RWIND Simulation with the results published by Dagnew et al. at the 11th Americas Conference on Wind Engineering in June, 2009. In this paper, the Commonwealth Advisory Aeronautical Council (CAARC) building is used as a model, and the results of several different numerical methods are compared with experimental data obtained from wind tunnels.

The RWIND Simulation program is primarily designed to quickly calculate results even for relatively complex and large models. Default settings were used for a quick calculation, which subsequently took only 5 minutes on a standard PC. The results obtained are in relatively close agreement with those published in the above article [1], and are discussed in more detail below.

Computational Domain and Mesh

The CAARC building is a rectangular prismatic shape with dimensions of 150 ft by 100 ft by 600 ft in height. The wind tunnel dimensions are 4,950 ft in the streamwise direction, 3,000 ft in the spanwise direction, and the total height is equal to 1,200 ft.

The finite volume mesh was locally refined near the building model with the total number of mesh cells at 540,180. Although RWIND Simulation allows calculations on significantly finer meshes (up to 50 million cells), a relatively coarse mesh was selected for a quick calculation.

Simulation Setup

The simulation parameters and the inlet wind velocity profile are defined according to Dagnew et al. [1], and are displayed in Image 02.

The model boundary conditions are described in Table 1.

Parameter Top, Left, and Right Faces Inlet Outlet Building Walls and Ground
Velocity slippage velocity profile zero gradient 0 m/s
Pressure zero gradient 0 Pa zero gradient zero gradient
Turbulence Intensity - 0.15% - -

The k-ε turbulence model was used, and the inlet turbulent intensity was set to 0.15%.

Stationary Calculation

The calculation was performed with the RWIND Simulation Solver, which is relative to the OpenFOAM-SIMPLE family of solvers. It is a steady-state solver for incompressible, turbulent flow. The entire simulation, including mesh generation and result preparation, was completed in 5 minutes on a PC with 8 cores (Intel i9-9900K). The residual pressure convergence criterion was set to 0.001, which is the standard value for the quickest calculation, and was achieved after 350 iterations. The minimum residual pressure is 0.0001, and it could be reached after 700 iterations while continuing the calculation. However, the results were not significantly affected.

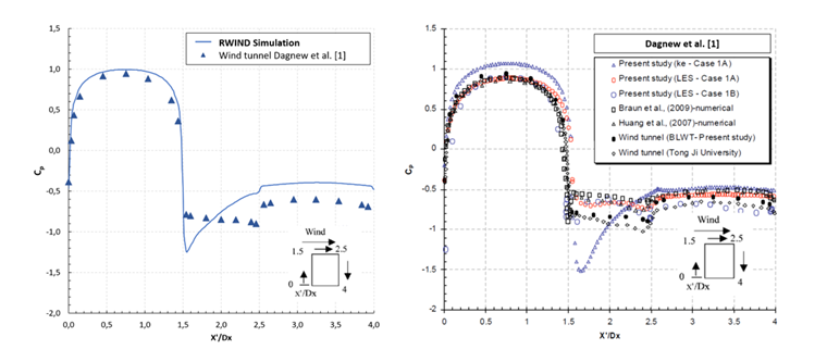
Image 05 through Image 07 show the pressure distribution on the building surface and the velocity field. For validation and comparison purposes, the calculated pressure coefficient cp is compared to the data obtained from [1] in Image 9 through Image 11. The cp coefficient is calculated as follows:

The RWIND Simulation results and experimental results according to Dagnew et al. [1] on the windward face are in close comparison. On the sidewall and leeward faces, 10% to 20% differences between the measured and the calculated data are observed, which can be explained by the turbulence model (k-ε) used and the coarse computational mesh. The result accuracy can be improved by using more accurate turbulence models (LES), which will be available in future versions of RWIND Simulation.

RWIND Simulation Results

Comparison with Data and Results from [1]

To explain the diagram above, it can be added that the unit of the abscissa x'/Dx results from the actually available x-coordinate from RWIND as well as the axis distance from RWIND, which is 100 ft.


Transient Calculation

For high and slender structures, the simulation of a transient flow is useful in order to consider possible damage due to vortex shedding. RWIND 2 uses the "BlueDySolver", which was developed from the "PimpleFoam" OpenFOAM® solver standard, to simulate transient flows. As part of this simulation, 91 flow animations were created over a simulation time of 1,200 seconds with a time step of 12 seconds.

The program offers the possibility to change these time layers automatically and to smooth the flow between two time layers by means of linear interpolation in such a way that a coherent flow animation can be represented over the entire simulation time. The following animations show the pressure distribution on the building's surface as well as the velocity distribution around the building, which were obtained by using the transient calculation.



In order to compare the results of the transient calculation with those of the steady calculation or with those of Dagnew et al. [1], the pressure coefficient cp for the evaluation path shown in Image 08 was also determined for this simulation. All the results are shown in the following diagram.

The results of the transient calculation on the windward face are also in very good agreement with the results of the steady calculation, as well as with the experimental wind tunnel test data reported by Dagnew et al. [1]. On the leeward face, the results of the transient flow, similarly to the results of the steady flow, deviate from the measured data by about 10 to 20%. At the side faces, the deviations of the transient results are slightly larger with regard to the other results.

On one hand, this can be attributed to the fact that the RWIND Simulation software uses a different solver for the transient analysis than for the steady simulation and, on the other hand, to the program's continuous development and improvement. From this comparison, it also becomes clear that the K-omega turbulence model provides greater correlation with the experimental results than the K-epsilon turbulence model. Furthermore, the steady simulation was extended by a calculation according to the second-order analysis. These results are also shown in the diagram above, but differ only slightly from the results according to the geometrically linear analysis.


Author

Andreas is responsible for the development of RSTAB, RFEM, and RWIND Simulation, as well as the membrane structure division. In addition, he coordinates quality assurance processes and provides technical support to customers.

Links
References
Downloads


;