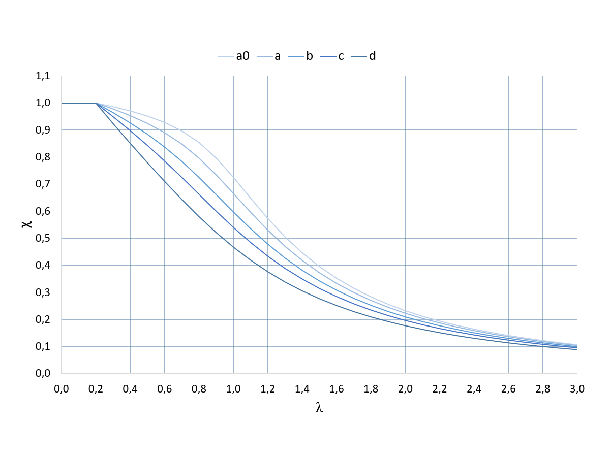
Flexural Buckling Lines According to EN 1993-1-1
Selecting Buckling Curve in RF-/STEEL EC3 Add-on Module 
Flexural Buckling Lines According to EN 1993-1-1
Selecting Buckling Curve in RF-/STEEL EC3 Add-on Module 
2024-05-30
010469
  • RFEM 5
  • RF-STEEL EC3 5
  • RSTAB 8
    • STEEL EC3 8
    • Steel Structures
    • Stability Analysis
    • Eurocode 3

Flexural Buckling Lines According to EN 1993-1-1

Used in
  • Manual Adjustment of Buckling Curve According to EN 1993-1-1
Share
2024-05-30
015617
  • RFEM 5
  • RF-STEEL EC3 5
  • RSTAB 8
    • STEEL EC3 8
    • Steel Structures
    • Stability Analysis
    • Eurocode 3
Selecting Buckling Curve in RF-/STEEL EC3 Add-on Module
Selecting Buckling Curve in RF-/STEEL EC3 Add-on Module 

Used in
  • Manual Adjustment of Buckling Curve According to EN 1993-1-1
Share