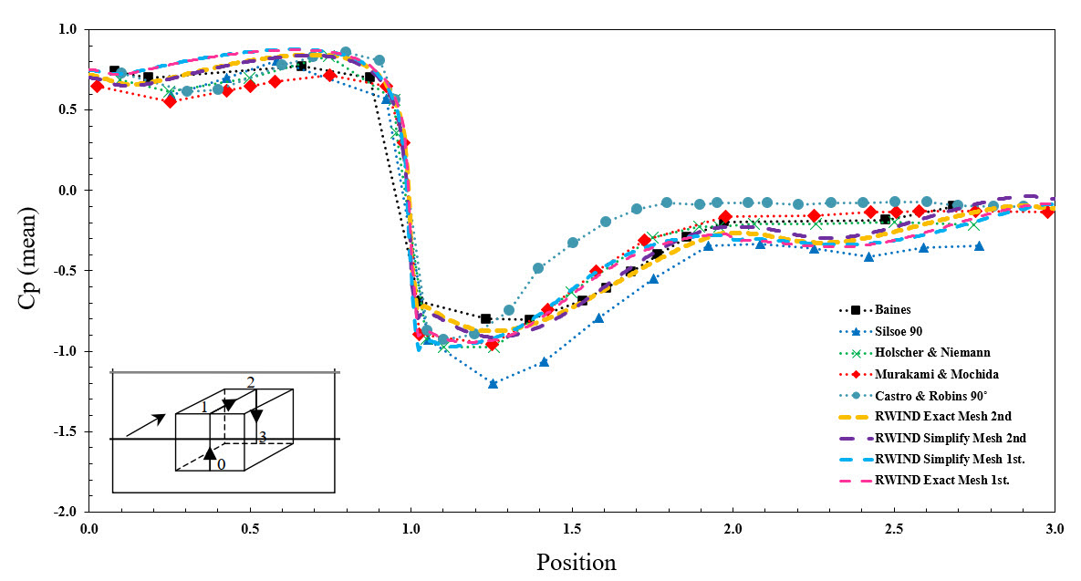
Average Cp Value Using Simplified and Exact Mesh Method and First-Order and Second-Order of Mesh Discretization
Average Cp Value Using Simplified and Exact Mesh Method and First-Order and Second-Order of Mesh Discretization
2024-11-19
046027
  • RFEM 6

Average Cp Value Using Simplified and Exact Mesh Method and First-Order and Second-Order of Mesh Discretization

Used in
  • How to Conduct Validation Example in RWIND
Share