1742x
001863
2023-12-19

How to Conduct Validation Example in RWIND

Creating a validation example for computational fluid dynamics (CFD) is a critical step in ensuring the accuracy and reliability of simulation results. This process involves comparing the outcomes of CFD simulations with experimental or analytical data from real-world scenarios. The objective is to establish that the CFD model can faithfully replicate the physical phenomena it is intended to simulate.

This guide outlines the essential steps in developing a validation example for CFD simulation, from selecting a suitable physical scenario to analyzing and comparing the results. By meticulously following these steps, engineers and researchers can enhance the credibility of their CFD models, paving the way for their effective application in diverse fields such as aerodynamics, aerospace, and environmental studies.

Creating a validation example for computational fluid dynamics (CFD) simulations in wind engineering applications involves several specific steps tailored to the complexities of wind flow and its interactions with structures and environments. Here's a step-by-step guide:

1. Defining Wind Engineering Problem

  • Clearly specify the wind engineering scenario you are simulating, such as wind flow around buildings, bridges, or other structures.
  • Include details about the terrain, atmospheric boundary layer characteristics, and any relevant environmental factors.

2. Selecting Appropriate Benchmark Case

  • Choose a well-documented wind engineering case study with reliable experimental or field data. This could be wind tunnel tests or full-scale measurements.
  • The case should closely resemble your scenario in terms of geometry, scale, and wind conditions.

For our current study, the scientific paper [1] from the Journal of Wind Engineering is chosen as benchmark case. The model is shown in Image 1:

3. Developing CFD Model

  • Geometry: Create a digital model of the structure and surrounding terrain. For buildings, include details such as the shape, facade features, and nearby structures.
  • Meshing: Generate a mesh that captures the geometry accurately, paying special attention to areas where high flow gradients are expected, such as corners and edges of structures.
  • Boundary and Initial Conditions: Set boundary conditions that reflect the wind profile (speed and direction) at different heights, temperature variations, and pressure conditions.
  • Solver Settings: Select suitable solvers and turbulence models (such as k-ε or Large Eddy Simulation) that are known to perform well in wind engineering simulations.

The initial assumptions are considered as Table 1.

Table 1: Dimensional Ratio and Input Data
Basic Wind Velocity V 10.13 m/s
Roof Height h 6 m
Horizontal Dimension α 6 m
Roof Angle θroof 0 Degree
Air Density – RWIND ρ 1.25 kg/m3
Wind Directions θwind 0 Degree
Turbulence Model – RWIND Steady-State RANS k-ω SST - -
Kinematic Viscosity (Equation 7.15, EN 1991-1-4) – RWIND ν 1.5*10-5 m2/s
Scheme Order – RWIND First and Second - -
Residual Target Value - RWIND 10-4 - -
Residual Type – RWIND Pressure - -
Minimum Number of Iterations – RWIND 800 - -
Boundary Layer – RWIND NL 10 -
Type of Wall Function – RWIND Enhanced / Blended - -

4. Running Simulation

  • Conduct simulations considering both steady-state and transient analyses, as wind flow can have significant temporal variations.
  • Ensure that the simulation runs long enough to capture the relevant flow dynamics around the structures.

5. Validation Process

  • Compare with Benchmark Data: Contrast your simulation results with the benchmark case data, focusing on parameters like wind speed profiles, pressure distribution on structures, and turbulence intensity.
  • Error Analysis: Perform quantitative analysis to assess discrepancies between your simulation and the benchmark data.
  • Sensitivity Analysis: Test how changes in mesh density, boundary conditions, and turbulence models affect your results.

For the current example, the sensitivity analysis is shown according to Image 2. The results of the total drag forces are investigated for six different mesh sizes. The mesh independency is obtained at 1.6 million cells (Mesh #4). In CFD, a grid convergence study helps find the optimum mesh size (Mesh #4) where simulation results (e.g., drag force) become mesh-independent. Using overly coarse mesh like Mesh #1 can lead to inaccurate results, while overly fine meshes can introduce numerical errors and increase computation time as shown in Mesh #6 in Image 2.

To identify the optimal mesh that ensures both accuracy and grid independency, it's recommended to evaluate at least three different mesh sizes. When results stabilize with finer meshes, the solution is considered reliable and independent of mesh density. It is also recommended to review important references like ASCE 7-22 Chapter C31 - Wind Tunnel Procedure, Yeo, D. 2020 [2], and Roache [3].

6. Documentation

  • Document your methodology thoroughly, including the assumptions, boundary conditions, and all relevant settings.
  • Include a detailed comparison of your results with the benchmark data, highlighting both agreements and discrepancies.

7. Iterative Refinement

  • If there are significant deviations from the benchmark data, refine your model. This might involve adjusting mesh resolution, modifying turbulence models, or revising boundary conditions.
  • Repeat the simulation and validation process until the model reliably predicts wind flow behavior.

8. Considerations for Wind Engineering Applications

  • Wind engineering CFD simulations often need to account for complex phenomena such as vortex shedding, buffeting, and wake effects.
  • Urban topology, terrain effects, and atmospheric stability conditions can significantly influence the wind flow and should be included in the model when relevant.

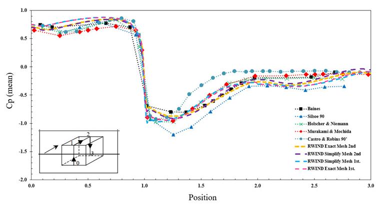
9. Results

The diagram of the average Cp value using steady simulation is performed for the simplified and exact mesh generation methods in RWIND as well as the first and second methods of the numerical scheme. The results show good agreement between the experimental and numerical methods regarding reference [1]. Images 3 and 4 show the average Cp value through a specified line in the vertical and horizontal directions.


10. Conclusion

This validation process is crucial for ensuring that your CFD model accurately represents the complexities of wind flow in engineering applications. It helps in building confidence in the simulation results, which can then be used for design decisions, safety assessments, or further research studies. The validation model is available to download here:


Author

Mahyar is responsible for product development and marketing at Dlubal Software, with a particular focus on RWIND 2. He combines technical development with the enhancement of product communication.

References


;