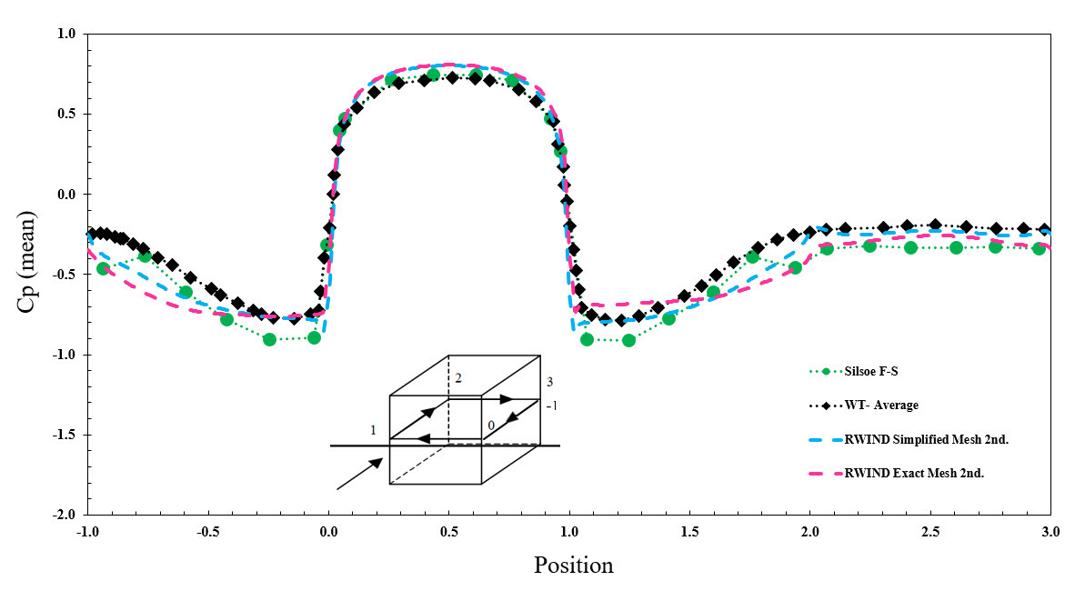
Average Cp Value Using Simplified and Exact Mesh Method
Average Cp Value Using Simplified and Exact Mesh Method
2024-11-19
046028
  • RFEM 6

Average Cp Value Using Simplified and Exact Mesh Method

Used in
  • How to Conduct Validation Example in RWIND
Share