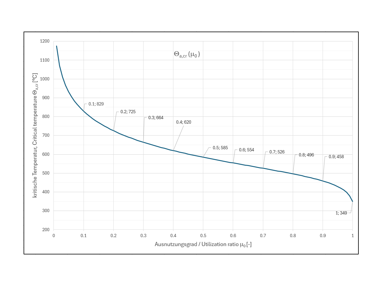
The function graph of the critical component temperature has the following course.
The function graph of the critical component temperature has the following course.
2025-09-22
059090
  • RFEM 6
  • RSTAB 9
  • Steel Structures
    • Structural Analysis & Design
    • Eurocode 3

KB 1988 | Function Graph of Critical Component Temperature Θa,cr

The function graph of the critical component temperature has the following course.

The function graph of the critical component temperature has the following course.
  • Critical component temperature
  • Fire resistance design
  • Function graph
Used in
  • Fire Resistance Design of Steel Structures: Critical Component Temperature
Share