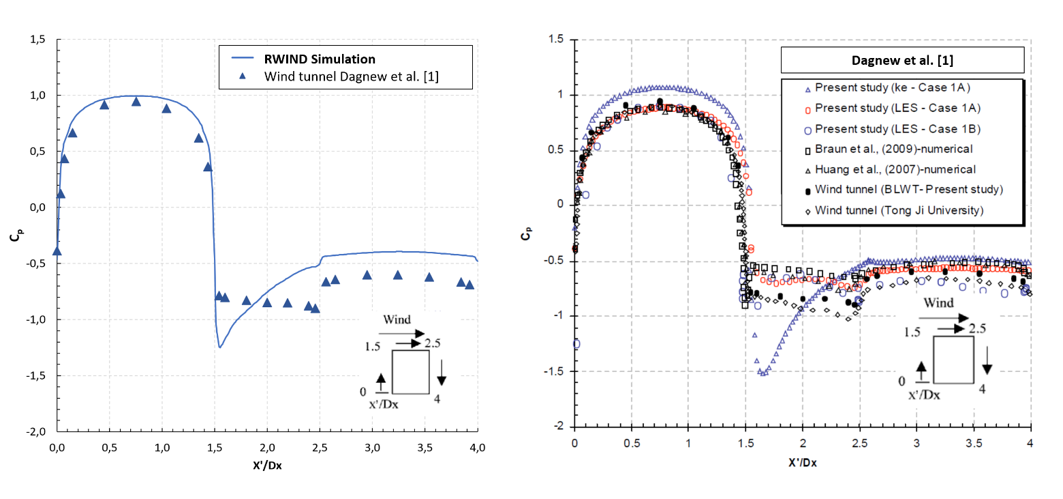
Valores de los coeficientes de la presión media Cp sobre el perímetro en Z/H = 2/3. Comparación con los resultados de otros métodos numéricos publicados en [1]
Valores de los coeficientes de la presión media Cp sobre el perímetro en Z/H = 2/3. Comparación con los resultados de otros métodos numéricos publicados en [1]
30-05-2024
008688
  • Simulación RWIND 1
  • Edificios
  • Simulación de flujos de viento y generación de cargas de viento

Valores de los coeficientes de presión media cp a lo largo del perímetro en Z/H = 2/3. Comparación con los resultados de otros métodos numéricos publicados en [1]

Valores de los coeficientes de la presión media Cp sobre el perímetro en Z/H = 2/3. Comparación con los resultados de otros métodos numéricos publicados en [1]

Usado en
  • Cargas de viento en un edificio de gran altura
Compartir