11288x
001624
19-02-2020

Cargas de viento en un edificio de gran altura

El siguiente estudio compara la presión del viento en un edificio alto obtenido por RWIND Simulation con los resultados publicados por Dagnew et al. en la 11ªConferencia de las Américas sobre Ingeniería Eólica en junio de 2009. En este documento, el edificio del consejo asesor aeronáutico de la mancomunidad ("Commonwealth Advisory Aeronautical Council", CAARC) se utiliza como modelo y los resultados de los diferentes métodos numéricos se comparan con los datos experimentales obtenidos desde los túneles de viento.

El programa RWIND Simulation se ha diseñado principalmente para calcular resultados rápidamente incluso para modelos relativamente complejos y grandes. Se ha utilizado la configuración predeterminada para un cálculo rápido, que posteriormente tardó solo 5 minutos en un PC estándar. Die so ermittelten Ergebnisse stimmen relativ gut mit den veröffentlichten Ergebnissen aus dem oben erwähnten Artikel [1] überein und werden im Nachgang entsprechend erörtert.

Dominio computacional y malla

El edificio CAARC tiene una forma prismática rectangular con dimensiones de 150x100x600 pies (45,72x30,48x182,88 m) de altura. Las dimensiones del túnel de viento son 4950 pies (1508,76 m) en la dirección de la corriente, 3000 pies (914,4 m) en la dirección del ancho perpendicular y la altura total es de 1200 pies (365,76 m).

La malla de elementos finitos se ha refinado localmente cerca del modelo del edificio con el número total de 540.180 celdas de la malla. Aunque RWIND Simulation permite cálculos en mallas considerablemente más finas, hasta 50 millones de celdas, se ha seleccionado una malla relativamente gruesa para un cálculo rápido.

Configuración de la simulación

Los parámetros generales de simulación y el perfil de la velocidad del viento de entrada están según Dagnew et al. [1] como se indica a continuación.

Las condiciones de contorno del modelo se describen en la tabla 1.

Parámetro Lado superior, izquierdo y derecho Entrada Salida Muros y planta del edificio
Velocidad deslizamiento Perfil de velocidad Gradiente cero 0 m/s
Presión Gradiente cero 0 Pa Gradiente cero Gradiente cero
Intensidad de turbulencia - 0,15 % - -

Se ha utilizado el modelo de turbulencia de k-épsilon, y la intensidad de la turbulencia de entrada se ha ajustado a 0,15%.

Cálculo estacionario

El cálculo se ha llevado a cabo con el solucionador de RWIND Simulation, que se relaciona con la familia de solucionadores OpenFOAM - SIMPLE. Es un solucionador del estado estacionario para un flujo turbulento incompresible. La simulación completa, incluyendo la generación de mallas y la preparación de resultados, se completó en 5 minutos en un PC con 8 núcleos (Intel i9-9900K). El criterio de convergencia de la presión residual se ha establecido en 0,001, que es el valor estándar para el cálculo más rápido, y se alcanzó después de 350 iteraciones. La presión residual mínima es de 0,0001 y se puede alcanzar después de 700 iteraciones mientras continúa el cálculo. Sin embargo, los resultados no se vieron afectados considerablemente.

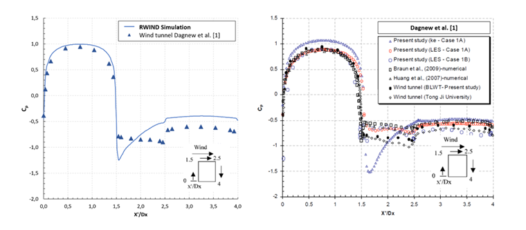
Las figuras 5 a 7 muestran la distribución de la presión en la superficie del edificio y el campo de velocidad. Para fines de validación y comparación, el coeficiente de presión calculadocp se compara con los datos proporcionados desde [1] en la imagen 9 hasta la imagen 11. El coeficiente cp se calcula de la siguiente forma:

Los resultados de RWIND Simulation y los resultados experimentales según Dagnew et al. [1] en la cara de barlovento están en estrecha comparación. [1]. En los muros laterales y de sotavento, se observan diferencias de 10% - 20% entre los datos medidos y calculados, que se puede explicar mediante el modelo de turbulencia (k-épsilon) utilizado y la malla computacional gruesa. La precisión del resultado se puede mejorar utilizando modelos de turbulencia más precisos (LES), que estarán disponibles en futuras versiones de RWIND Simulation.

Resultados de RWIND Simulation

Comparación con los datos y resultados de [1]

Para explicar el diagrama anterior, se puede agregar que la unidad de la abscisa x'/Dx resulta de la coordenada x realmente disponible de RWIND, así como la distancia del eje de RWIND, que es de 100 pies.


Cálculo de transitorios

Para estructuras altas y esbeltas, la simulación de un flujo transitorio es útil para considerar posibles daños debido al desprendimiento de vórtices. RWIND 2 utiliza el "BlueDySolver", que se desarrolló a partir del estándar del solucionador "PimpleFoam" OpenFOAM®, para simular flujos transitorios. Como parte de esta simulación, se crearon 91 animaciones de flujo durante un tiempo de simulación de 1.200 segundos con un paso de tiempo de 12 segundos.

El programa ofrece la posibilidad de cambiar estas capas de tiempo automáticamente y suavizar el flujo entre dos capas de tiempo por medio de la interpolación lineal de tal manera que se pueda representar una animación de flujo coherente durante todo el tiempo de simulación. Las siguientes animaciones muestran la distribución de la presión en la superficie del edificio, así como la distribución de la velocidad alrededor del edificio, que se obtuvieron utilizando el cálculo transitorio.



Para comparar los resultados del cálculo transitorio con los resultados del cálculo estacionario o con los de Dagnew et al. [1], también se determinó el coeficiente de presióncp para la ruta de evaluación que se muestra en la figura 08 para esta simulación. Todos los resultados se muestran en el siguiente diagrama.

Los resultados del cálculo transitorio en la cara de barlovento también están muy de acuerdo con los resultados del cálculo estacionario, así como con los datos de la prueba experimental del túnel de viento informados por Dagnew et al. [1]. En la cara de sotavento, los resultados del flujo transitorio, de forma similar a los resultados del flujo estacionario, se desvían de los datos medidos entre un 10 y un 20%. En las caras laterales, las desviaciones de los resultados transitorios son ligeramente mayores con respecto a los otros resultados.

Por un lado, esto se puede atribuir al hecho de que el software RWIND Simulation utiliza un solucionador diferente para el análisis transitorio que para la simulación estacionaria y, por otro lado, al desarrollo y mejora continuos del programa. A partir de esta comparación, también queda claro que el modelo de turbulencia K-omega proporciona una mayor correlación con los resultados experimentales que el modelo de turbulencia K-épsilon. Además, la simulación estacionaria se amplió mediante un cálculo según el análisis de segundo orden. Estos resultados también se muestran en el diagrama anterior, pero difieren solo ligeramente de los resultados según el análisis geométricamente lineal.


Autor

Andreas es responsable del desarrollo de RSTAB, RFEM y RWIND Simulation, así como del área de construcción de membranas. Además, coordina los procesos de aseguramiento de la calidad y presta apoyo en cuestiones técnicas en el soporte al cliente.

Enlaces
Referencias
Descargas


;