Estructura de capas con propiedades de rigidez y resistencia para Stora Enso CLT 100 C5s
Cálculo de barras equivalentes según EN-1995-1-1, capítulo 6.3.2
Normalkraftverlauf des Ergebnisstabes und Ermittlung der effektiven Breite
Korrektur der Querschnittsfläche über die Knicklänge
Diseño en RF-TIMBER Pro
Estructura de capas con propiedades de rigidez y resistencia para Stora Enso CLT 100 C5s
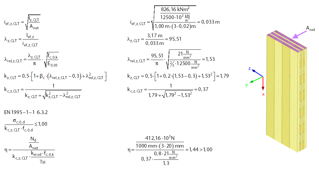
Cálculo de barras equivalentes según EN-1995-1-1, capítulo 6.3.2
Normalkraftverlauf des Ergebnisstabes und Ermittlung der effektiven Breite
Korrektur der Querschnittsfläche über die Knicklänge
Diseño en RF-TIMBER Pro
30-05-2024
009660
  • RFEM 5
  • RF-TIMBER Pro 5
  • RF-STABILITY 5
    • Estructuras de madera
    • Análisis de estabilidad
    • Eurocode 5

Estructura de capas con propiedades de rigidez y resistencia para Stora Enso CLT 100 C5s

Usado en
  • Análisis de estabilidad de componentes estructurales de dos dimensiones en ejemplo de muro de madera contralaminada 2
Compartir
30-05-2024
009661
  • RFEM 5
  • RF-TIMBER Pro 5
  • RF-STABILITY 5
    • Estructuras de madera
    • Análisis de estabilidad
    • Eurocode 5
Cálculo de barras equivalentes según EN-1995-1-1, capítulo 6.3.2
Usado en
  • Análisis de estabilidad de componentes estructurales de dos dimensiones en ejemplo de muro de madera contralaminada 2
Compartir
30-05-2024
009662
  • RFEM 5
  • RF-TIMBER Pro 5
  • RF-STABILITY 5
    • Estructuras de madera
    • Análisis de estabilidad
    • Eurocode 5
Normalkraftverlauf des Ergebnisstabes und Ermittlung der effektiven Breite
Usado en
  • Análisis de estabilidad de componentes estructurales de dos dimensiones en ejemplo de muro de madera contralaminada 2
Compartir
30-05-2024
009663
  • RFEM 5
  • RF-TIMBER Pro 5
  • RF-STABILITY 5
    • Estructuras de madera
    • Análisis de estabilidad
    • Eurocode 5
Korrektur der Querschnittsfläche über die Knicklänge
Usado en
  • Análisis de estabilidad de componentes estructurales de dos dimensiones en ejemplo de muro de madera contralaminada 2
Compartir
30-05-2024
009664
  • RFEM 5
  • RF-TIMBER Pro 5
  • RF-STABILITY 5
    • Estructuras de madera
    • Análisis de estabilidad
    • Eurocode 5
Diseño en RF-TIMBER Pro
Usado en
  • Análisis de estabilidad de componentes estructurales de dos dimensiones en ejemplo de muro de madera contralaminada 2
Compartir