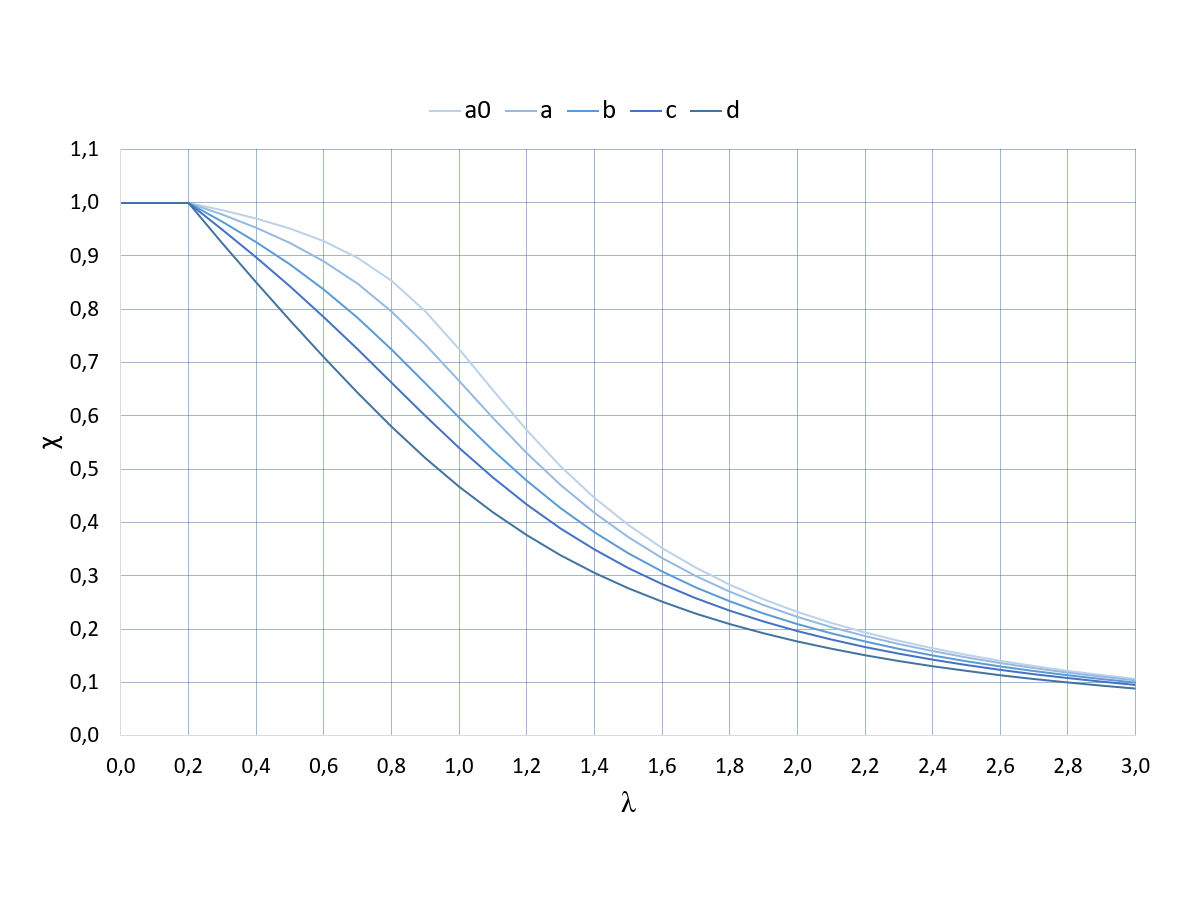
Líneas de pandeo por flexión según EN 1993-1-1
Auswahl der Knicklinie im Zusatzmodul RF-/STAHL EC3
Líneas de pandeo por flexión según EN 1993-1-1
Auswahl der Knicklinie im Zusatzmodul RF-/STAHL EC3
30-05-2024
010469
  • RFEM 5
  • RF-STEEL EC3
  • RSTAB 8
    • STEEL EC3 8
    • Estructuras de acero
    • Análisis de estabilidad
    • Eurocode 3

Líneas de pandeo por flexión según EN 1993-1-1

Usado en
  • Ajuste manual de la curva de pandeo según EN 1993-1-1
Compartir
30-05-2024
015617
  • RFEM 5
  • RF-STEEL EC3
  • RSTAB 8
    • STEEL EC3 8
    • Estructuras de acero
    • Análisis de estabilidad
    • Eurocode 3
Auswahl der Knicklinie im Zusatzmodul RF-/STAHL EC3
Usado en
  • Ajuste manual de la curva de pandeo según EN 1993-1-1
Compartir