7867x
000604
26-02-2021

Ajuste manual de la curva de pandeo según EN 1993-1-1

Das Zusatzmodul RF-/STAHL EC3 übernimmt die für den Biegeknicknachweis zu benutzende Knicklinie für einen Querschnitt automatisch aus den Querschnittseigenschaften. Insbesondere für allgemeine Querschnitte, aber auch für Sonderfälle, kann die Zuordnung der Knicklinie in der Moduleingabe manuell angepasst werden.

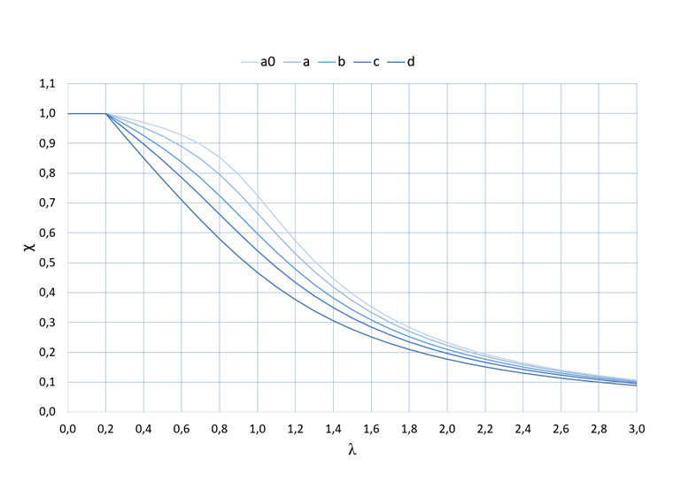
Curvas de pandeo por flexión según EN 1993-1-1, tabla 6.2

Las líneas de pandeo en la norma indican el factor de reducción χ a utilizar, dependiendo de la relación de esbeltez relacionada λ ̅. Esta reducción de la capacidad de carga tiene en cuenta la influencia de las imperfecciones geométricas y estructurales en la rigidez del componente. Estos se incluyen en la fórmula de cálculo del factor de reducción mediante el factor de imperfección α.

La línea de pandeo más favorable a0 representa la menor influencia de las imperfecciones y, por lo tanto, proporciona una mayor resistencia al pandeo por flexión con la misma esbeltez. La curva de pandeo más desfavorable con el factor de imperfección más grande es la curva de pandeo d.

Coeficientes de imperfección según EN 1993-1-1, tabla 6.1
Curva de pandeo a0 bcd
Factor de imperfección α0.130,210,340,490,76

Ajuste manual en RF-/STEEL EC3

En la ventana de entrada de las secciones, los detalles de la sección se muestran de nuevo en el módulo adicional. Para cada sección, puede seleccionar la curva de pandeo de forma diferente al valor de la base de datos en la configuración de detalles.


Enlaces


;