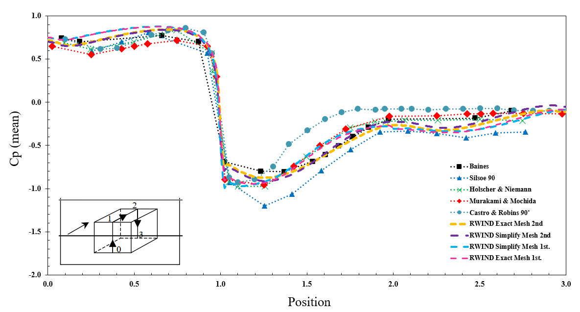
Valor Cp promedio usando el método de malla simplificado y exacto y discretización de malla de primer y segundo orden
Valor Cp promedio usando el método de malla simplificado y exacto y discretización de malla de primer y segundo orden
19-11-2024
046027
  • RFEM 6

Valor Cp promedio usando el método de malla simplificado y exacto y discretización de malla de primer y segundo orden

Usado en
  • Cómo realizar un ejemplo de validación en RWIND
Compartir