1821x
001863
19-12-2023

Cómo realizar un ejemplo de validación en RWIND

Crear un ejemplo de validación para la dinámica de fluidos computacional (CFD) es un paso crítico para garantizar la precisión y confiabilidad de los resultados de la simulación. Este proceso implica comparar los resultados de las simulaciones CFD con datos experimentales o analíticos de escenarios del mundo real. El objetivo es establecer que el modelo CFD puede replicar fielmente los fenómenos físicos que se pretende simular.

Esta guía describe los pasos esenciales para desarrollar un ejemplo de validación para simulación CFD, desde la selección de un escenario físico adecuado hasta el análisis y comparación de los resultados. Siguiendo meticulosamente estos pasos, los ingenieros e investigadores pueden mejorar la credibilidad de sus modelos CFD, allanando el camino para su aplicación efectiva en diversos campos como aerodinámica, aeroespacial y estudios ambientales.

Crear un ejemplo de validación para simulaciones de dinámica de fluidos computacional (CFD) en aplicaciones de ingeniería del viento implica varios pasos específicos adaptados a las complejidades del flujo de viento y sus interacciones con estructuras y entornos. Aquí hay una guía paso a paso:

1. Definiendo el Problema de Ingeniería del Viento

  • Especifique claramente el escenario de ingeniería del viento que está simulando, como el flujo de viento alrededor de edificios, puentes u otras estructuras.
  • Incluya detalles sobre el terreno, características de la capa límite atmosférica y cualquier factor ambiental relevante.

2. Seleccionando un Caso de Referencia Apropiado

  • Elija un estudio de caso de ingeniería del viento bien documentado con datos experimentales o de campo fiables. Esto podría ser pruebas en túneles de viento o mediciones a escala completa.
  • El caso debe asemejarse mucho a su escenario en términos de geometría, escala y condiciones de viento.

Para nuestro estudio actual, se elige como caso de referencia el artículo científico [1] del Journal of Wind Engineering. El modelo se muestra en la Imagen 1:

3. Desarrollando el Modelo CFD

  • Geometría: Cree un modelo digital de la estructura y el terreno circundante. Para edificios, incluya detalles como la forma, características de la fachada y estructuras cercanas.
  • Malla: Genere una malla que capture la geometría con precisión, prestando especial atención a áreas donde se esperan altos gradientes de flujo, como esquinas y bordes de estructuras.
  • Condiciones de Frontera e Iniciales: Establezca condiciones de frontera que reflejen el perfil del viento (velocidad y dirección) a diferentes alturas, variaciones de temperatura y condiciones de presión.
  • Configuraciones del Solver: Seleccione solvers y modelos de turbulencia adecuados (como k-ε o Simulación de Grandes Remolinos) que se sabe que funcionan bien en simulaciones de ingeniería del viento.

Las suposiciones iniciales se consideran en la Tabla 1.

Tabla 1: Relación Dimensional y Datos de Entrada
Velocidad Básica del Viento V 10.13 m/s
Altura del Techo h 6 m
Dimensión Horizontal α 6 m
Ángulo del Techo θroof 0 Grado
Densidad del Aire – RWIND ρ 1.25 kg/m3
Direcciones del Viento θwind 0 Grado
Modelo de Turbulencia – RWIND Estado Estacionario RANS k-ω SST - -
Viscosidad Cinética (Ecuación 7.15, EN 1991-1-4) – RWIND ν 1.5*10-5 m2/s
Orden del Esquema – RWIND Primero y Segundo - -
Valor Objetivo de Residuos - RWIND 10-4 - -
Tipo de Residuo – RWIND Presión - -
Número Mínimo de Iteraciones – RWIND 800 - -
Capa Límite – RWIND NL 10 -
Tipo de Función de Pared – RWIND Mejorada / Combinada - -

4. Ejecución de la Simulación

  • Realice simulaciones considerando tanto análisis estacionarios como transitorios, ya que el flujo de viento puede tener variaciones temporales significativas.
  • Asegúrese de que la simulación se ejecute el tiempo suficiente para capturar las dinámicas de flujo relevantes alrededor de las estructuras.

5. Proceso de Validación

  • Comparar con Datos de Referencia: Contraste sus resultados de simulación con los datos del caso de referencia, centrándose en parámetros como perfiles de velocidad del viento, distribución de presión en las estructuras e intensidad de la turbulencia.
  • Análisis de Errores: Realice un análisis cuantitativo para evaluar discrepancias entre su simulación y los datos de referencia.
  • Análisis de Sensibilidad: Pruebe cómo los cambios en la densidad de la malla, las condiciones de frontera y los modelos de turbulencia afectan sus resultados.

Para el ejemplo actual, el análisis de sensibilidad se muestra según la Imagen 2. Se investigan los resultados de las fuerzas de arrastre totales para seis tamaños de malla diferentes. La independencia de la malla se obtiene con 1.6 millones de celdas (Malla #4). En CFD, un estudio de convergencia de cuadrícula ayuda a encontrar el tamaño de malla óptimo (Malla #4) donde los resultados de simulación (por ejemplo, la fuerza de arrastre) se vuelven independientes de la malla. Utilizar una malla demasiado gruesa como Malla #1 puede llevar a resultados inexactos, mientras que mallas demasiado finas pueden introducir errores numéricos y aumentar el tiempo de cómputo como se muestra en Malla #6 en la Imagen 2.

Para identificar la malla óptima que garantice tanto precisión como independencia de cuadrícula, se recomienda evaluar al menos tres tamaños de malla diferentes. Cuando los resultados se estabilizan con mallas más finas, la solución se considera confiable e independiente de la densidad de la malla. También se recomienda revisar referencias importantes como ASCE 7-22 Capítulo C31 - Procedimiento de Túnel de Viento, Yeo, D. 2020 [2], y Roache [3].

6. Documentación

  • Documente su metodología minuciosamente, incluyendo las suposiciones, condiciones de frontera y todos los ajustes relevantes.
  • Incluya una comparación detallada de sus resultados con los datos de referencia, destacando tanto acuerdos como discrepancias.

7. Refinamiento Iterativo

  • Si hay desviaciones significativas de los datos de referencia, refine su modelo. Esto podría implicar ajustar la resolución de la malla, modificar los modelos de turbulencia o revisar las condiciones de frontera.
  • Repita el proceso de simulación y validación hasta que el modelo prediga de manera confiable el comportamiento del flujo del viento.

8. Consideraciones para Aplicaciones de Ingeniería del Viento

  • Las simulaciones CFD de ingeniería del viento a menudo necesitan tener en cuenta fenómenos complejos como desprendimiento de vórtices, vibraciones estructurales y efectos de estela.
  • La topología urbana, los efectos del terreno y las condiciones de estabilidad atmosférica pueden influir significativamente en el flujo de viento y deben incluirse en el modelo cuando sean relevantes.

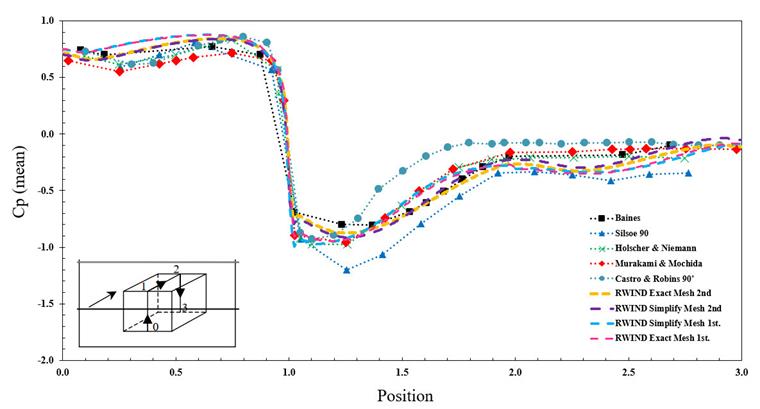
9. Resultados

Se realiza el diagrama del valor promedio de Cp usando simulaciones estacionarias para los métodos de generación de malla simplificada y exacta en RWIND, así como los primeros y segundos métodos del esquema numérico. Los resultados muestran una buena concordancia entre los métodos experimentales y numéricos respecto a la referencia [1]. Las Imágenes 3 y 4 muestran el valor promedio de Cp a través de una línea especificada en las direcciones vertical y horizontal.

10. Conclusión

Este proceso de validación es crucial para asegurar que su modelo CFD represente con precisión las complejidades del flujo de viento en aplicaciones de ingeniería. Ayuda a generar confianza en los resultados de la simulación, que luego pueden usarse para decisiones de diseño, evaluaciones de seguridad o estudios de investigación adicionales. El modelo de validación está disponible para descargar aquí:


Autor

Mahyar es responsable del desarrollo de productos y del marketing de Dlubal Software, en particular de RWIND 2. Combina el desarrollo técnico con la evolución de la comunicación del producto.

Referencias


;