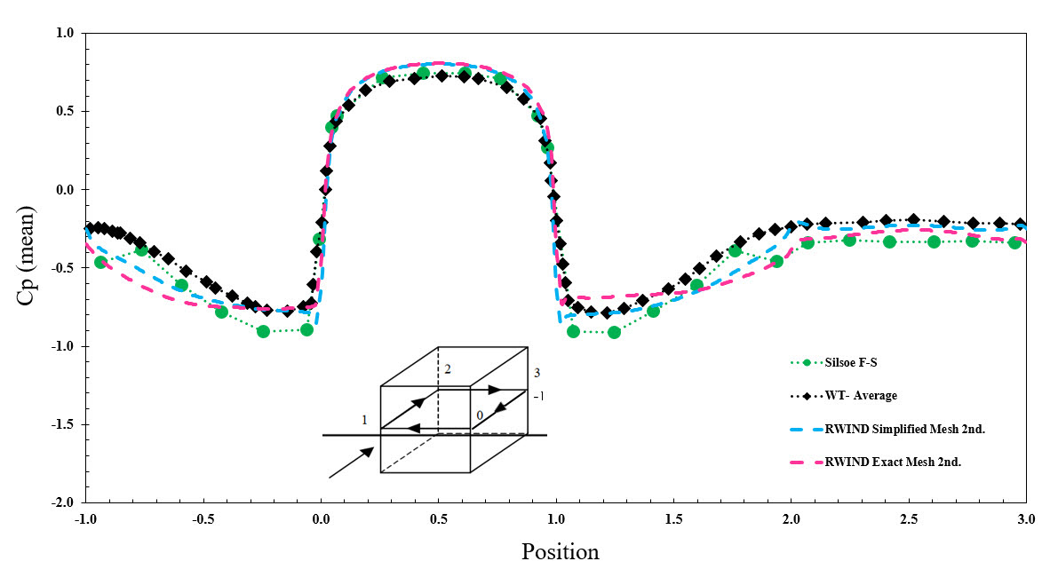
Valor Cp promedio usando el método de malla simplificado y exacto
Valor Cp promedio usando el método de malla simplificado y exacto
19-11-2024
046028
  • RFEM 6

Valor Cp promedio usando el método de malla simplificado y exacto

Usado en
  • Cómo realizar un ejemplo de validación en RWIND
Compartir