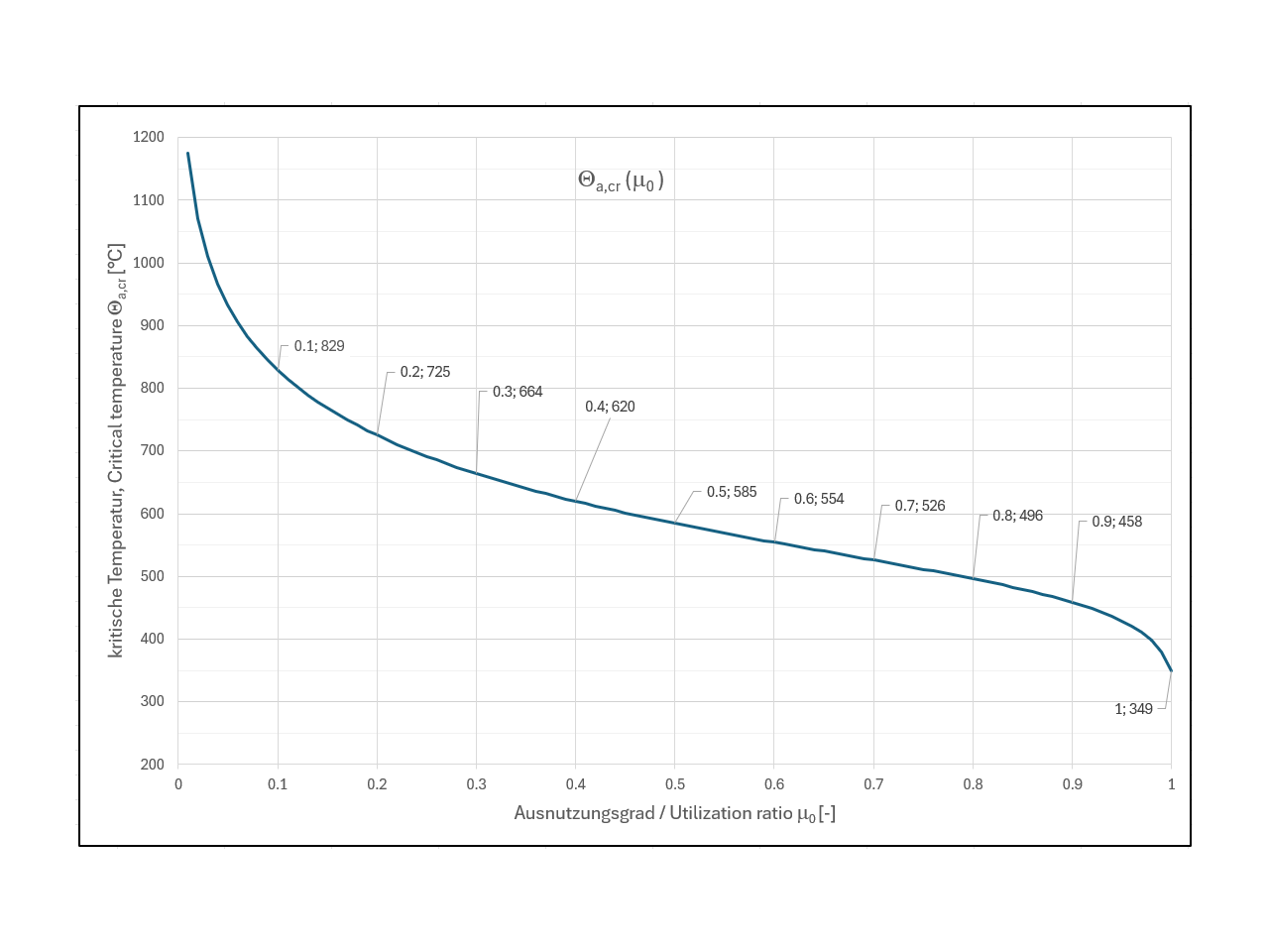
El diagrama de la temperatura crítica del componente tiene la siguiente forma
El diagrama de la temperatura crítica del componente tiene la siguiente forma
22-09-2025
059090
  • RFEM 6
  • RSTAB 9
  • Estructuras de acero
    • Análisis y dimensionamiento de estructuras
    • Eurocode 3

KB 1988 | Gráfico de funciones de la temperatura crítica del componente Θa,cr

El diagrama de la temperatura crítica del componente tiene la siguiente forma

Gráfico de la función de la temperatura crítica del componente
  • Temperatura crítica del componente
  • Cálculo de incendios
  • Diagrama de funciones
Usado en
  • Comprobación de la resistencia al fuego en estructuras de acero: temperatura crítica de componentes
Compartir