479x
001988
28-10-2025

Comprobación de la resistencia al fuego en estructuras de acero: temperatura crítica de componentes

Para el recubrimiento de superficies de acero, se pueden aplicar sistemas de protección contra incendios reactivos. Para determinar el espesor de capa necesario, es esencial conocer la temperatura crítica del componente.

Cálculo de la resistencia al fuego

El cálculo de la resistencia al fuego está regulado en el Eurocódigo 3 (EN 1993, Parte 1-2). Allí, en el capítulo 4.2, se presentan "Procedimientos de diseño simplificados", que forman la base para el diseño en RSTAB 9 y RFEM 6.
En la escala de componentes, se comparan las acciones con las resistencias. Las acciones de incendio debidas al aumento de temperatura se calculan en base a curvas de temperatura (curvas de incendio nominales). Las acciones se determinan con valores parciales de seguridad reducidos en la situación de diseño excepcional. Las resistencias se consideran mediante una reducción de las propiedades del material debido al aumento de temperatura.

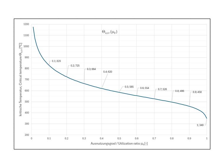
Temperatura crítica del componente Θa,cr

Además de los métodos de verificación mencionados anteriormente, en EN 1993-1-2, en el capítulo 4.2.4, se describe el procedimiento de verificación a nivel de temperatura basado en la temperatura crítica del componente. Esto se vuelve relevante cuando se aplican sistemas de protección contra incendio reactivos al acero y se quieren determinar los espesores de las capas.
La temperatura crítica del componente representa la temperatura máxima que debe alcanzarse para que el elemento analizado o conjunto de elementos todavía resista las acciones. El valor determinante es la temperatura crítica más baja del componente.
La ecuación para determinar Θa,cr es:

El parámetro para determinar la temperatura crítica del componente es el grado de utilización μ0, que es la relación entre las acciones bajo exposición al fuego Efi,d y las resistencias al inicio (t = 0) del incendio Rfi,d,0. La temperatura crítica del componente es, por tanto, independiente del análisis del diseño de la resistencia al fuego, en el que las resistencias se determinan en función de la duración del incendio o las curvas de temperatura, etc.

El gráfico de la función de Θa,cr tiene la siguiente forma:

Los grados de utilización μ0 pueden calcularse mediante métodos de verificación elásticos o plásticos.

Límites de aplicación, condiciones de contorno

Para el cálculo de la temperatura crítica del componente en RFEM 6, se aplican las siguientes restricciones:

  • no aplicable si los criterios de deformación son determinantes,
  • no aplicable si se deben considerar influencias de estabilidad,
  • no deben emplearse grados de utilización μ0 < 0.013.
  • Existen componentes con clase de sección transversal 1, 2 o 3, o existen componentes sometidos a tracción.
  • El componente se calienta uniformemente en toda la sección transversal.

Ejemplo de cálculo

Se muestra el cálculo de la temperatura crítica del componente para la verificación de esfuerzo cortante y normal usando el ejemplo de una viga de un solo tramo:

Material Acero S235
Longitud L = 2 m
Carga permanente g = 3 kN/m
Carga de tráfico p = 5 kN/m
Situación de diseño EN 1990; Estado límite de resistencia - Excepcional - ψ2,1
Valores parciales de seguridad ψ2,1 = 0,3
Formato de verificación elástico/elástico
Sección HEA 140 - DIN 1025-3
Momento estático máximo max. Sy = 86,77 cm3 (calculado mediante RSECTION 1)
Momento de inercia Iy = 1033,34 cm4 (calculado mediante RSECTION 1)
Módulo resistente Wy = 155,4 cm3
Espesor del alma tw = 0,55 cm

Verificación de esfuerzos cortantes:

Verificación de esfuerzos normales:

La temperatura crítica del componente aplicable es la mínima:

Ejemplo de aplicación en RFEM 6

Para llevar a cabo un diseño de resistencia al fuego en RFEM 6, los elementos a diseñar deben tener asignada una configuración adicional de protección contra incendios en el complemento de Cálculo de acero, como prerrequisito para el diseño contra incendios.
Las combinaciones de carga en la situación de proyecto para el cálculo de la resistencia al fuego se determinan en base a la situación de proyecto excepcional ψ2,1 según EN 1990 | 2010-04.

En el modelo de ejemplo adjunto, se asigna una configuración para el diseño contra incendios a los elementos nº 1 y 2. En el diálogo básico bajo los parámetros de diseño, se selecciona el cálculo de la temperatura crítica del componente.

La decisión de si las verificaciones de la sección transversal en el diseño de resistencia al fuego se realizan de manera elástica o plástica se toma en la configuración de capacidad de carga: Pestaña 'Principal|Barras' - Opciones - Cálculo elástico (también para secciones de clase 1 y 2). Al seleccionar esta opción, se realiza un cálculo elástico, de lo contrario, si es posible, se realiza un cálculo plástico.

Después de completar el cálculo del diseño de acero, en los detalles de la verificación, además de los resultados para el diseño de resistencia al fuego, aparece también el cálculo de la temperatura crítica del componente.

Verificación de los límites de aplicación en RFEM 6

Las restricciones de aplicación relativas a las limitaciones de las clases de sección transversal 1 a 3, así como la limitación del grado de utilización mínimo μ0,min = 0.013, son verificadas automáticamente por RFEM 6. Si se superan estos límites, se emiten los correspondientes avisos.

Para descargar los modelos utilizados, vea "Modelos para descargar" al final de la página web o haga clic en las siguientes imágenes.


Autor

Marco gestiona en Soporte técnico consultas técnicas sobre el software. Se familiariza de forma fiable con nuevos temas y desarrolla enfoques de solución estructurados.



;