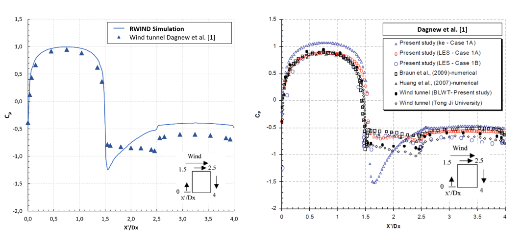
Coefficients de pression moyens cp sur le périmètre du bâtiment à une hauteur z = 2/3 H. Comparaison avec les résultats publiés dans [1] selon d’autres méthodes de calcul numériques
Coefficients de pression moyens cp sur le périmètre du bâtiment à une hauteur z = 2/3 H. Comparaison avec les résultats publiés dans [1] selon d’autres méthodes de calcul numériques
30.05.2024
008688
  • Simulation RWIND 1
  • Bâtiments
  • Simulation des flux de vent et génération des charges de vent

Valeurs des coefficients de pression moyenne cp le long du périmètre à Z/H = 2/3. Comparaison avec les résultats d’autres méthodes numériques publiés dans [1]

Coefficients de pression moyens cp sur le périmètre du bâtiment à une hauteur z = 2/3 H. Comparaison avec les résultats publiés dans [1] selon d’autres méthodes de calcul numériques

Utilisé dans
  • Charges de vent appliquées à un bâtiment de grande hauteur
Partager