11288x
001624
19.02.2020

Charges de vent appliquées à un bâtiment de grande hauteur

Cet article compare la pression du vent appliquée sur un bâtiment de grande hauteur obtenue d'après des calculs effectués dans RWIND Simulation aux résultats de l'article d'A. K. Dagnew et al. publié lors de la 11e Conférence américaine sur le génie éolien (Americas Conference on Wind Engineering) en juin 2009.

Les résultats de l'action du vent sur un bâtiment de la Commission de la recherche aéronautique du Commonwealth (Commonwealth Advisory Aeronautical Council, CAARC) sont ici comparés selon différentes méthodes numériques avec les données expérimentales basées sur des essais en soufflerie.

Le programme RWIND Simulation a principalement été développé pour analyser rapidement les résultats de modèles relativement complexes et de grande taille. Ses paramètres par défaut permettent de déterminer un résultat cohérent avec un ordinateur standard en l'espace de cinq minutes. Les résultats ainsi déterminés sont relativement similaires aux résultats de l'article [1] mentionné ci-dessus et sont analysés en conséquence dans cet article.

Zone de calcul et maillage

Le bâtiment de la CAARC a une forme rectangulaire et prismatique ainsi que des dimensions de 150 x 100 x 600 pi. La soufflerie de 1 200 pieds de haut fait 4 950 pieds de long dans la direction du vent et 3 000 pieds de large perpendiculairement à cette direction.

Le maillage EF composé de 540 180 mailles a été affiné localement près du modèle du bâtiment. Ce maillage relativement grossier garantit un calcul rapide. RWIND Simulation permet de générer un maillage pour le domaine de calcul qui peut compter jusqu'à 50 millions d'éléments.

Configuration de la simulation

Les paramètres généraux de la simulation et le profil de la vitesse du vent à l’entrée de la soufflerie sont définis selon les données de Dagnew et al. [1] et sont affichés sur la Figure 02.

Les conditions limites du modèle sont les suivantes :

Paramètre Côté supérieur, gauche et droit de la soufflerie Écoulement Sortie de la soufflerie Surfaces du modèle et sol
Vitesse Glissement vitesse moyenne du vent Zéro 0 m/s
Pression Zéro 0 Pa Zéro Zéro
Intensité de la turbulence - 0,15 % - -

L'effet de la turbulence est défini selon le calcul suivant par un modèle k-ε avec une intensité de turbulence de 0,15 %.

Calcul de flux stationnaire

Le calcul a été effectué avec le solveur de RWIND Simulation, qui est dérivé de la famille de solveurs OpenFOAM-SIMPLE. Il s'agit d'un solveur d'équations stationnaire conçu pour les flux turbulents incompressibles. Le processus de calcul (génération du maillage et préparation des résultats incluses) a duré environ cinq minutes sur un ordinateur équipé de huit cœurs (Intel i9-9900K). Le processus a atteint la limite de convergence de la norme après environ 350 itérations avec une différence de pression résiduelle de 0,001. Le programme trouve une solution après 700 itérations pour une différence de pression résiduelle de 0,0001. Ces résultats ne diffèrent cependant pas significativement des résultats avec la plus grande différence de pression.

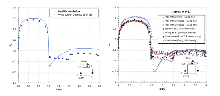
Les figures 05 à 07 montrent la répartition de la pression à la surface du bâtiment et le champ de vitesse autour du bâtiment. Le coefficient de pression cp calculé est comparé aux données issues de l'article [1] illustrées par les Figures 09 à 11 à des fins de validation. Le coefficient de pression cp est défini comme suit :

Les résultats de RWIND Simulation et les résultats structuraux selon Dagnew et al. [1] sur la face au vent sont de près. [1]. Les valeurs comprises entre 10 et 20 % au niveau des surfaces latérales et sous le vent s'écartent cependant des données mesurées et des résultats calculés. Ces différences proviennent du modèle de turbulence k-ε utilisé et du maillage relativement grossier. Les résultats peuvent être affinés à l'aide d'un modèle de turbulence (LES) plus précis. Ce modèle de turbulence est actuellement implémenté dans RWIND Simulation et sera disponible dans ses futures versions.

Résultats de RWIND Simulation

Comparaison avec les données et résultats de [1]

Pour expliquer le diagramme précédent, nous pouvons ajouter que l’unité provient de l’axe des abscisses x'/Dx à partir des coordonnées x de RWIND ainsi que de l’espacement de l’axe de RWIND, soit 100 pieds (30 mètres).


Calcul de flux transitoire

Pour les structures de grande hauteur élancées, il est utile de simuler un écoulement transitoire (instationnaire) afin de considérer les dommages possibles causés par le détachement tourbillonnaire. RWIND 2 utilise le « BlueDySolver » développé à partir du solveur standard OpenFOAM® « PimpleFoam » pour simuler les écoulements instationnaires. Dans le cadre de cette simulation, 91 animations de flux ont été créées sur une durée de simulation de 1 200 secondes avec un pas de temps de 12 secondes.

Le logiciel permet de modifier ces couches de temps automatiquement et de lisser l’écoulement entre deux couches de temps par interpolation linéaire de manière à afficher une animation cohérente de l’écoulement sur toute la durée de la simulation. Les animations suivantes montrent la distribution de la pression sur la surface du bâtiment ainsi que la distribution de la vitesse autour du bâtiment, qui ont été obtenues à l'aide du calcul des flux transitoires.



Afin de comparer les résultats du calcul transitoire avec les résultats du calcul stationnaire ou avec ceux de Dagnew et al. [1], le coefficient de pression cp pour le chemin d'évaluation affiché dans la Figure 08 a également été déterminé pour cette simulation. Le diagramme suivant montre tous les résultats.

Les résultats du calcul transitoire sur la surface au vent sont également en très bon accord avec les résultats du calcul stationnaire ainsi qu'avec les données expérimentales de la soufflerie rapportées par Dagnew et al. [1]. Sous le vent, les résultats du flux transitoire, similaires à ceux du flux permanent, divergent d’environ 10 à 20 % des données mesurées. Les écarts des résultats transitoires par rapport aux autres résultats sont légèrement plus importants sur les surfaces latérales.

Cela est dû, d’une part, au fait que le logiciel RWIND Simulation utilise un autre solveur pour le calcul des flux transitoires que pour la simulation des flux stationnaires et, d’autre part, au développement et à l’amélioration continus du logiciel. Cette comparaison montre également que le modèle de turbulence K-Omega est plus en accord avec les résultats expérimentaux que le modèle de turbulence K-Epsilon. De plus, la simulation des flux stationnaires a été étendue pour inclure un calcul selon l’analyse du second ordre. Ces résultats sont également présentés dans le diagramme précédent, mais ne diffèrent que légèrement de ceux du premier ordre.


Auteur

Andreas est responsable du développement de RSTAB, RFEM et RWIND Simulation ainsi que du domaine des structures membranaires. En outre, il coordonne les processus d’assurance qualité et apporte son soutien pour les questions techniques dans le support client.

Liens
Références
Téléchargements


;